Talk:Counterexamples to Relativity
Attention: Please review previous points on the discussion page before adding your own commentary. Many topics have been discussed many, many, times. If you have something new to add, feel free, but it is not necessary or helpful to read the same arguments over and over and over.
| This Talk Page is for Discussion Focused on the Improvement of the Corresponding Article | ||
|
Archives: 1, 2, 3
| |
| For article guidelines please see the Commandments and Guidelines | ||
Raising arguments which have been discussed before wastes the time of valuable editors and repeatedly doing so violates 90/10.
Contents
- 1 Disclaimer added to the top of the page informing readers that relativity has been proven capable of prediction and scientific accuracy
- 2 Counter-example removed because of the experiment listed above
- 3 Twins Paradox removed
- 4 Barn and ladder paradox removed
- 5 Point 4
- 6 Counterexample 4 (limiting behavior)
- 7 Counterexample 9 (Jesus action-at-a-distance)
- 8 lack of a single useful device
- 9 GPS revisited
- 10 Several Clarification/Corrections
- 11 Curvature of Space
- 12 Reversion explained
- 13 Proposed page move
- 14 Curl of the gravitational field
- 15 Misleading Reference
- 16 Ehrenfest's Paradox
- 17 Momentum issues
- 18 Wormholes
- 19 Inability of theory to lead to other insights?
- 20 "from the muons' point of view, the Earth would have to be rushing in all directions to meet them"?
- 21 Number 29: the fasted-frame contradiction
- 22 Continuation of "Curl of the gravitational field"
- 23 Reversion of my edit
- 24 Quote mine
- 25 My Great-grandfather
- 26 Countering the counterexamples
- 27 A reminder
- 28 Pioneer anomoly
- 29 If Biblical quotes are allowed...
- 30 Black Holes are High Entropy
- 31 Searchlight Paradox
- 32 Different values of Inertia
- 33 counter example 12
- 34 Tachyons
- 35 John 4:53
Disclaimer added to the top of the page informing readers that relativity has been proven capable of prediction and scientific accuracy
The results of the experiment can be found here: http://www.nytimes.com/2011/05/05/science/space/05gravity.html?_r=1&partner=rss&emc=rss
Counter-example removed because of the experiment listed above
The counterexample "The inability of the theory to lead to other insights, contrary to every verified theory of physics." was removed, because the prediction and recent confirmation of the dragging of spacetime demonstrates that it did lead to such insights
Twins Paradox removed
This paradox has already been solved pretty simply, it is only an issue if you don't consider that a change in direction makes the reference frame of either twin non-inertial. In the non-inertial reference frame that is exists from the reverse in direction that is necessary for the twins to reunite, the time dilation is essentially also reversed, so they will be the same age upon their second meeting. In short, Einstein's prediction that the acceleration that one twin uniquely undergoes would remove the effects was correct. Wikipedia actually covers this: http://en.wikipedia.org/wiki/Twin_paradox#Resolution_of_the_paradox_in_special_relativity
Barn and ladder paradox removed
This paradox has been solved pretty simply as well; Simultaneity is not preserved under special relativity, which is one of the basic principles that makes it work. Wikipedia covers this one pretty concisely, as well: http://en.wikipedia.org/wiki/Ladder_paradox#Resolution
Point 4
Andy, can you clarify #4 for me? I'm not sure I understand it. JacobB 21:50, 28 November 2009 (EST)
- Sure, I welcome discussion of these important points. As I've said, I have an open mind about this and if something is true, then I accept it. But if something is false, I'll criticize it.
- The theory of relativity has taught for decades that as the velocity of a mass increases, then its (scalar) relativistic mass increases per the Lorentzian transformation. Now apply a force ORTHOGONAL to the velocity. Does that force encounter the increased mass, as relativity says, or encounter the rest mass, as logic would dictate?--Andy Schlafly 22:02, 28 November 2009 (EST)
- Ah, I see what you mean. May I suggest a re-wording? "The logical problem of a force which is applied at a right angle to the velocity of a relativistic mass." I think that might be a little clearer than it is currently stated. Your thoughts? JacobB 22:06, 28 November 2009 (EST)
- Please do. Your edits are always welcome, and you've suggested an improvement here. Thank you for making this change.--Andy Schlafly 22:20, 28 November 2009 (EST)
- Why would logic dictate that? Mass is a scalar, and a force from any direction should encounter the same increased mass, not different masses from different directions.
- I suppose that under Newtonian mechanics, a moving object has a velocity of 0 within the plane perpendicular to its line of motion, and any forces operating in that plane will act on the object as if it is at rest. But that's not what logic dictates, that's what the previous theory dictates.
- Essentially your counterexample to relativity is that it makes a prediction that contradicts Newton's laws. This is neithe r a contradiction nor a logical problem, and it is should be edited out.NgSmith
- No, it's a logical problem. If you're suggesting that one force can affect the inertial in an entirely independent, orthogonal direction, that's illogical. One thing cannot affect something else that is entirely independent.--Andy Schlafly 15:40, 12 December 2009 (EST)
- Why is that illogical? What logical principle does it violate?
- See, in relativity, orthogonal doesn't mean independent. In relativity, velocity vectors do not add. In relativity, the effect of a new force is not independent of the object's existing momentum. And there is nothing illogical about that; it's just a new theory that contradicts the intuition from the previous theory.--NgSmith
- Ng, something cannot be independent (orthogonal) and yet dependent at the same time. Unfortunately, you're arguing with your own theory at this point. Even most relativity promoters have abandoned the position you take here.--Andy Schlafly 21:37, 12 December 2009 (EST)
- It seems that his point is that something can be orthogonal and dependent. I agree: The cross-product of two vectors is orthogonal to both and yet obviously dependent on both. --EvanW 21:41, 12 December 2009 (EST)
- OK, good point, an orthogonal vector can be a function of other orthogonal vectors. But that's a bit different from what we're discussing. Here it's an orthogonal force that is not dependent on anything else, and yet Ng says it encounters relativistic mass due to a different orthogonal force.
- I think relativists have abandoned Ng's position, so he's really arguing with his own side at this point. As a result, I urge him to reconsider his views with an open mind once he confirms that.--Andy Schlafly 21:59, 12 December 2009 (EST)
- First of all, relativity has not "abandoned" the prediction we're talking about. The velocity addition formulas for both parallel and perpendicular velocities have not changed, and they still predict that an orthogonal force will have a harder time accelerating a fast-moving object. Physicists may have changed their informal interpretation of this formula, but not the formula itself, nor its predictions.
- Note also that relativity's prediction can't be all that illogical, because this is what we actually observe happening to particles at high speeds. If you think that fast-moving particles commit some terrible offense against basic logic, take it up with God.
- There is a very simple way to settle this matter: write an encyclopedia article where the material is properly sourced. If this is indeed some counterexample or logical flaw in relativity, then one can easily find a book or paper exposing that flaw, and cite it.--NgSmith Sun Dec 13 17:55:04 EST 2009
- OK, I think I see part of the problem you people are having. The word "independent" has two different meanings. Being linearly independent is a concept from pure mathematics. Being causally independent is an unrelated metaphysical concept. Whether a force pushing on something causes it to move, and by how much, is completely, umm, independent of whether the vectors involved are linearly independent (orthogonal). Please try to be very careful about the meanings of the terms. SaraT 17:00, 13 December 2009 (EST)
- I don't think that's the source of our confusion. I think the main problem is that, according to Newtonian mechanics and thus according to our mechanical intuition, orthogonal things tend to operate independently. Not only that, but a force exerted on an object is usually independent of the object's momentum.
- In relativity, none of these things are true, due to the fact that velocities no longer add like vectors (and thus acceleration no longer incurs a cumulative change in velocity in the usual way.) This is seen as some sort of logical flaw or paradox simply because it contradicts the deeply ingrained intuition that came from the previous theory.--NgSmith Sun Dec 13 18:10:46 EST 2009
- Theories that don't produce anything useful are often a waste of time, or simply false. I realize that liberals tend to downplay accountability -- a conservative insight, but theories should be accountable by what value they yield, particularly when taxpayer dollars are spent (wasted) on the theory.--Andy Schlafly 16:55, 7 January 2010 (EST)
- I call gps a pretty darned useful invention but it doesn't work if you don't take into account relativistic effects. I think that not knowing where relativity is used speaks volumes as to how close minded those trying to disprove relativity, which is different from relativism. (a point completely overlooked by the page) Gaurdro 12:31, 24 May 2010 (EDT)
MLS 16:07, 15 August 2010 (EDT) I would argue that the nuclear bomb and atomic energy in general are pretty useful inventions. These came about once it was understood that energy and matter were manifestations of the same thing and could be interchanged. E=mc2 is not just a fancy mathematical equation but a new & different way of understanding the physical universe. It took scientists about 3 years (1942 - 1945) between concept and execution (poor word choice) to develop a weapon based on this understanding that ended WW II. MLS 15 August 2010.
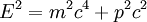
Counterexample 4 (limiting behavior)
For the fourth "counterexample," the author points out that the momentum
does not approach the momentum of light as
and
Aside from the mathematical sloppiness of taking two independent variables to a limit at the same time, at unspecified rates, these sorts of "discontinuities" can be found in just about any scientific theory. In Newtonian mechanics, for example, take the orbit of a planet as the planet's mass goes to 0. For any nonzero mass the orbit is an ellipse; at m=0 it is suddenly a straight line. Is this a "counterexample" to Newton's laws?
Or in electronics, I=V/R. The limiting case is no voltage, no resistance, no current; but if someone foolishly took V/R as both V and R go to zero, he would get a nonsensical answer. Let them both go at the same rate and you get I=1. Is this a "counterexample" to basic electronics?
Or more to the point, momentum in Newtonian mechanics is
, and this also fails to give the momentum of a photon at m=0, v=c. Again, is that a "counterexample" to
? Will we see this entry in a corresponding page of "Counterexamples to Newton's laws?"
But none of these are counterexamples or "discontinuities": they are just a misinterpretation of the formulas. You don't get the momentum of a photon by taking the momentum formula for a mass and setting m=0 and v=c. That's just not what the formula means, or what they are for. This item should also be removed.--NgSmith Tue Dec 15 10:16:21 EST 2009
I agree that this point is invalid. I have personally checked that if you take a massive particle, and make its rest mass tend to zero and its speed tend to c while keeping its energy constant, its four-momentum approaches that of a photon. No discontinuity at all. Since this point has been raised 8 months ago and no opposition has been heard, I will delete point 4 from the list. If anyone is interested to see the details of my calculations, let me know and I'll put them in my userspace. Toph 09:38, 14 August 2010 (EDT)
- The "keeping its energy constant" is a new condition that has no clear relevance to the discontinuity. Please explain further.--Andy Schlafly 09:54, 14 August 2010 (EDT)
- In the article, we are considering a particle whose mass tends to zero first and whose velocity tends to c second. This gives the results you posted, but there is no reason to do the calculations in this order. You could, for example, have the velocity tend to c first and the mass tend to zero second. Neither of these works; one results in the discontinuity you referred to, and the other results in divisions by zero.
- The situation we described has two degrees of freedom (particle mass and particle velocity) which vary independently. Tending to infinity only removes one degree of freedom, as the relative rate at which the two values converge is not fixed and can affect the result. We need to introduce a new constraint to remove the last degree of freedom so that we can end up with a meaningful answer. Fixing the particle's energy is one possibility, but you can also fix the momentum (or indeed the relativistic 4-momentum, which covers both of those). Both of these methods give the same answer as each other, and also remove the discontinuity. This result is much more elegant and is in fact correct.
- Of course, this is just an intuitive way of looking at things. So as not to clutter this page with equations, I can post a more in-depth analysis in my userspace, if somebody makes a post requesting it. (I'm not going to write anything unless someone wants to read it.)
- I apologise for the delay in replying - apparently I was temporarily banned, so I have been careful to abide by the Conservapedia Commandments this time. In particular, I want to be clear that this is based on the 24-lecture course on Dynamics And Special Relativity I took last year, not Wikipedia or 15 minutes of Googling; and I don't think I have violated the 90/10 rule since I have made 1 article edit and 2 talk page posts (is this right?). I want to learn, so if there's anything I have done wrong, please let me know immediately so I can fix it. Toph 21:34, 8 November 2010 (EST)
Counterexample 9 (Jesus action-at-a-distance)
The quoted verse doesn't strongly suggest "action-at-a-distance" in the relativistic sense. Light could travel the distances mentioned in the passage in a fraction of a second, which is well within the precision given in the verse (an hour). The verse and relativity are not in contradiction here. This should be removed.
- I have an open mind about it. In the the healing of the centurion's servant, if the Greek is translated as same "moment" then relativity is impossible, but if translated as the same "hour" then there is no conflict with relativity.
- But the healing of the centurion's servant is probably not the only place where there is action at a distance in the Bible.--Andy Schlafly 14:52, 5 January 2010 (EST)
- Any distance on the earth is less than 20,000km. A force acting with the speed of light takes less than 1/15,000 ≈ 0.0000667 seconds for this distance.
- I don't think how eyewitnesses could spot such a short time...
- So, there may probably be no other places where action at a distance is described in the Bible.
- FrankC aka ComedyFan 16:17, 5 January 2010 (EST)
- You make an interesting point, Frank. But according to this site, it takes 1/7.4 seconds for light to circle the globe, which is much longer than your figure.[1] More generally and more importantly, there is the issue of how this action in the Bible isn't light.--Andy Schlafly 19:30, 5 January 2010 (EST)
- Indeed, an error in my calculation: 20,000,000m / 300,000,000 m/sec = 1/15 seconds.
- Fast enough, still.
- Whether the action in the Bible isn't light doesn't matter: it is indistinguishable from an action happening at the speed of light for the witnesses of the time, so it doesn't say anything about the validity of the theory of relativity...
- FrankC aka ComedyFan 19:46, 5 January 2010 (EST)
- Frank you make an interesting point, and I have an open mind about it. But I'm not entirely convinced. When the woman cured herself of bleeding and Jesus felt power leaving him, that sounds more like heat than light. And for heat to travel virtually instantaneously (or at the speed of light) WOULD violate the theory of relativity.--Andy Schlafly 20:48, 5 January 2010 (EST)
- Yes, it would. And it would also violate classical physics, the laws of thermodynamics etc.
- But of course a miracle is going to violate the laws of physics. I don't see how this can be cited to discredit one physical theory over another.--NgSmith
I have to respectfully disagree with you on that point, Andy - I'm not sure this action could comment on relativity any more than the sun stopping for Joshua could comment on the Copernican model of the solar system. If God wanted heat/light to travel at some finite speed except in certain instances, how is that different from the sun and moon moving in the sky, except in certain instances? JacobB 21:32, 5 January 2010 (EST)
- I have an open mind about this. You make good points, Jacob. But your analogy is not perfect because:
- the Joshua account might be understood as the perception of the army that they sun did not set until they completed their job, but the healing in the New Testament cannot be explained as mere perception
- if the Joshua account is taken absolutely literally, Newtonian mechanics does not say it is impossible, while relativity does say action-at-a-distance is impossible
I look forward to our translation work on the Joshua passage (and New Testament passages) to see if that brings forth insights.--Andy Schlafly 22:30, 5 January 2010 (EST)
- Your second point is a good one, and I suppose my example wasn't very good. But on a different note, what makes you say that the Joshua account might be understood as only a perception of the army? I think I'm going to go translate that chapeter, I'll be interested to see what Hebrew words are used for that bit. JacobB 22:49, 5 January 2010 (EST)
- Shall we look at it next? Joshua 10:11-14, I think.--Andy Schlafly 23:18, 5 January 2010 (EST)
IMO, the discussion is a little bit bizarre: Following David Hume's definition of a miracle as a "a violation of the laws of nature", for evaluating the laws of natures, miracles can't be taken into account.
As I said earlier: we shouldn't try to restrict God with the laws of our logic - or even physics.
FrankC aka ComedyFan 07:27, 6 January 2010 (EST)
- Frank, perhaps what you mean is that you don't want the logic of the Bible to be used to evaluate claims by scientists. If so, I completely disagree. And so would Isaac Newton and most great scientists.
- As our Conservative Bible Translation project is revealing, Jesus said his works were not miracles, but signs. So any definition of miracle by Hume (who, by the way, leaned toward atheistic rather than Christianity) is not terribly helpful.--Andy Schlafly 08:00, 6 January 2010 (EST)
- So, what's the definition of a sign, then? FrankC aka ComedyFan 08:06, 6 January 2010 (EST)
- The same as its name suggests: a disclosure of reality, rather than a violation of it.--Andy Schlafly 08:35, 6 January 2010 (EST)
- I took Hume's definition as I found it on conservapedia's page on miracles.
- The page on signs doesn't describe Jesu works - perhaps you can fix this
- If you don't like Hume, what's about Thomas Aquinas:
- Now, there are various degrees and orders of these miracles. Indeed, the highest rank among miracles is held by those events in which something is done by God which nature never could do. For example, that two bodies should be coincident; that the sun reverse its course, or stand still; that the sea open up and offer a way through which people may pass. And even among these an order may be observed. For the greater the things that God does are, and the more they are removed from the capacity of nature, the greater the miracle is. Thus, it is more miraculous for the sun to reverse its course than for the sea to be divided.
- Then, the second degree among miracles is held by those events in which God does something which nature can do, but not in this order. It is a work of nature for an animal to live, to see, and to walk; but for it to live after death, to see after becoming blind, to walk after paralysis of the limbs, this nature cannot do—but God at times does such works miraculously. Even among this degree of miracles a gradation is evident, according as what is done is more removed from the capacity of nature.
- Now, the third degree of miracles occurs when God does what is usually done by the working of nature, but without the operation of the principles of nature. For example, a person may be cured by divine power from a fever which could be cured naturally, and it may rain independently of the working of the principles of nature.
- Acts 2:43 Everyone was filled with awe, and many wonders and miraculous signs were done by the apostles (KJB) So, we have miraculous signs and wonders
- John 2:11 This was the first of the miracles Jesus did in Cana of Galilee, and by doing showed his glory, and so his disciples believed in him. (CBP) Changing water into wine is something nature never could do: it's an outright miracle, miraculous sign, whatever...
- FrankC aka ComedyFan 09:00, 6 January 2010 (EST)
- That's great recitation, Frank, but how about simply applying logic yourself? You're a bright guy, why simply hunt and repeat quotes from others? On this site we encourage thinking in a logical way.--Andy Schlafly 09:21, 6 January 2010 (EST)
- I'm trying to use the fact that I'm standing on the shoulder of giants... FrankC aka ComedyFan 09:23, 6 January 2010 (EST)
- How about using "the fact" of simple logic and the power of your own mind?--Andy Schlafly 09:27, 6 January 2010 (EST)
- To make it as clear as possible in my own words:
- I won't restrict God by laws which men made or observed. Can I understand God's ways? Can I expect God to act the way I think to be logical? That would be hubris.
- Testing scientific hypotheses using God's miracles or signs seems to be odd!
- But which part of Thomas Aquinas's definition of miraculous events didn't you like? Granted, he had a slightly other view of the capacity of nature than we have today, but his line of reasoning was as valid in the 15th century as it is today! I hoped that his definition would be more helpful than that of David Hume.
- To make it as clear as possible in my own words:
- FrankC aka ComedyFan 10:41, 6 January 2010 (EST)
A miraculous healing seems to violate the Second Law of Thermodynamics - whether it happens on a distance or not. Does this mean that John 4:46-54 is a counterexample to the laws of thermodynamics, too? PhilG 09:58, 2 February 2010 (EST)
- How so? Do you think eating an apple to feel better, or taking an aspirin to alleviate a headache, also violates the Second Law of Thermodynamics?--Andy Schlafly 11:02, 2 February 2010 (EST)
- No. Eating an Apple helps you by giving your body some of the chemical components that constitute the apple. Components which also happen to help you fight off viruses and the like. The same is true for the aspirin. Both are well defined chemical processes that involve no increase or decrease in the amount of matter or energy in the system. Healing (such as Jesus mending the ear of the soldier), would involve the rapid solidification of matter that was not there before (ie. the new ear). This is a clear violation of the second law of thermodynamics. The point is,if you're going to use miracles or signs to disprove a physical theory, you have to apply the argument to universally. But you don't because attacking the Second Law of Thermodynamics would knock the crutch of misinterpreted Newtonian Physics you have been leaning on out from underneath you.
- LoganBertram 3:32 9 August 2010 (EST)
Following was taken from Schlafly user page and put here, where it should have been (my apologies)
(This is my first edit ever on a wiki/conseri board, so you'll have to excuse me if I did it incorrectly)
I have a concern with your post of "Counterexamples of Relativity" Your argument labeled 9:
The action-at-a-distance by Jesus, described in John 4:46-54.
It is not a counter example of relativity. The concept that the theory is broken down because Jesus is able to break it does not apply. Jesus worked miracles. So does God. Because of this, they are able to break laws and/or theories of physics. I haven't taken the time to go over the rest of the points in your counterexamples, but that one definitely doesn't work. If you are going to argue against me, then you are arguing against the Bible. Jesus broke several laws of physics. The biggest example is when he walked on water. Physics would state that by buoyancy laws he would not be able to do this. Does this call into question the physics buoyancy? It definitely does not.--mvgilpatrick 10 August 2010 (CDT)
- Relativity says that action-at-a-distance is impossible. That's not true of other examples. No physical law, for example, proves that rising from the dead is impossible.--Andy Schlafly 13:40, 12 August 2010 (EDT)
- Wouldn't the physical law of gravity and buoyancy make walking on water "impossible"? The only way Jesus could have done it would to have either had some sort of special technology that hadn't been invented yet, or, he is God and can break the laws of gravity and therefore physics (you know, do the "impossible"). Why can he break this law, but not break the theory of relativity? Please address this specific example.
- I can add another example. What about the law of mass conservation? Mass can not be created or destroyed. This is a law, and it is taught as a matter of fact that it is impossible to do otherwise. In Matthew 14:13-21, Jesus was able to feed 5,000 people with 5 loaves and 2 fish. He created mass (lots of food) out of very little (small amount of food). He broke another law of physics. He did the impossible. Again I say, is it not possible for him to break the theory of relativity, whilst still leaving it intact?
- Also please note that I am arguing for Jesus being God, not against, so please do not mistake that. --mvgilpatrick 17:50, 12 August 2010 (CDT)
- No, I don't think all these examples are the same. Physics does not categorically state that it is impossible for a creature to walk on water. Physics does not say that replication is impossible. There is no reason to think the multiplication of the loaves generated mass from nothing, rather than using existing mass to replicate. But Relativity does insist that action-at-a-distance is impossible.
- Nothing described in the Bible violates physics. Newton used the Bible to guide him to the truth for that reason.--Andy Schlafly 21:36, 12 August 2010 (EDT)
- Wait a second here. Maybe I am misunderstanding something, but doesn't the Law of Conservation of Matter and Energy require that any matter or energy come from somewhere? Also, physics does not categorically state that beings can't walk on water, it does categorically state that under Earth's gravity and given the observed buoyancy / surface tension of water, a being walking on water must either be light enough or have a large enough surface area not to float. Sure, Jesus could have taken energy from somewhere to make the extra loaves and fishes. He also could have changed the local buoyancy or surface tension of water around him in order to walk on it. But, if that was the case, isn't it just as likely that the healing was done with a speed of light delay?--Freiberg 14:28, 16 August 2010 (EDT)
- You are "misunderstanding something" ... because you're not looking at what the Bible says. Which, of course, is the effect that the falsehoods of Relativity have on lots of people who thereafter read anything and everything except the Bible itself. The Bible says the healing was instantaneous. Indeed, that's a key point of the miracle.--Andy Schlafly 14:39, 16 August 2010 (EDT)
- But it doesn't say that it was instantaneous. According to your own translation, "So he asked them the exact hour when he began to feel better, and they told him, 'His fever broke yesterday, at about one pm.'". According to the Douay-Rheims, "He asked therefore of them the hour wherein he grew better. And they said to him: 'Yesterday, at the seventh hour, the fever left him.'" Neither indicates an instant healing, as a half hour is way too long to tell the difference between an instant healing and a healing with a speed-of-light delay.--Freiberg 15:03, 16 August 2010 (EDT)
- Subsequently the phrase is "exact hour" (which should probably be translated as "exact time" or "exact moment" per the comment section). So thanks for your point because it illustrates the weakness in translation. The instantaneous healing is central to the purpose of the event.--Andy Schlafly 15:25, 16 August 2010 (EDT)
- The phrase "exact hour" was in the question, but the word "about" was in the answer, negating the "exact hour" phrase. Besides, wasn't the central purpose of the event to demonstrate how faith can save you? Being instantaneous hardly seems to be required for that, especially when the difference was unmeasurable with the technology of the day, and irrelevant (Jesus said that the girl would be healed, and she was). And yes, I know I'm approaching 90/10 with this edit.--Freiberg 15:35, 16 August 2010 (EDT)
- Freiberg, it is a is a translation error that has led to your problem, as Mr. Schlafly pointed out. Furthermore, the story does not only demonstrate that faith can heal you, but demonstrates that faith can heal you instantaneously. Faith doesn't take 10 years, 5 years, or 1/1000000th of a second to heal someone; the cure can be instantaneous, as demonstrated in this story. JonS 18:19, 16 August 2010 (EDT)
- Freiberg, if you read the Bible passage in earnest, then why do you describe the healed person as a "girl" rather than a "boy"? See John_1-7_(Translated)#Chapter_4.--Andy Schlafly 23:55, 16 August 2010 (EDT)
- 52When he inquired as to the time when his son got better, they said to him, "The fever left him yesterday at the seventh hour."
- 53Then the father realized that this was the exact time at which Jesus had said to him, "Your son will live." So he and all his household believed.
- Which seventh hour are we talking about? The one in Capernaum - or the one in Cana? There is a difference of roughly 1 minute... RonLar 09:04, 17 August 2010 (EDT)
- Wait... The exact same time that Jesus said "Your son will live"? A spoken sentence isn't a point in time, it's a period of time. Maybe he healed him during "your" and the family saw the kid recover during "son"? The Bible doesn't refer to an exact point in time during the sentence so maybe the miracle itself was spread gradually throughout the sentence? I mean, if you're going to use this as a direct example of action at a distance then it really shouldn't be a matter of interpretation. Stoob
lack of a single useful device
At conservapedia's article on the Global Positioning System, one can read:
These receivers rely on precisely timing signals sent from GPS satellites, with corrections for atmospheric attenuation and relativistic effects.
GPS seems to be a useful device!
FrankC aka ComedyFan 10:53, 6 January 2010 (EST)
- Great catch of a misleading statement, Frank! I've corrected it.
- Our theory of relativity entry explains how it did not aid the development of GPS. The repeated attempt by relativists to falsely claim credit for GPS reinforces the lack of any legitimate contributions.--Andy Schlafly 11:29, 6 January 2010 (EST)
- Well, you are consistent! Just another question: What's about particle accelerators? Generally, the theory of relativity is used to explain why it takes more energy to accelerate an electron from 200,000,000 m/sec to 200,002,000 m/sec than from 2,000 m/sec to 4,000 m/sec.
- Have you thought about an explanation for this phenomenon?
- Accelerators have applications beyond basic research!
- FrankC aka ComedyFan 12:02, 6 January 2010 (EST)
- Frank, I have an open mind about this, but I'm not aware of a single benefit from what you describe, nor do you identify one. Do you have an open mind about this?--Andy Schlafly 14:44, 6 January 2010 (EST)
- Synchrotron radiation is used in medicine
- So, may I ask again: what your explanation for the phenomenon? I suppose you are aware of the phenomenon I described above?
- FrankC aka ComedyFan 15:47, 6 January 2010 (EST)
- Frank, inventors and doctors and engineers don't typically even bother learning relativity. Should I repeat that? Complain to engineering departments and medical schools if you think that should change. Nothing useful has even been designed or built using relativity. If you want to look and look and look for a counterexample then you'll be wasting your time. I'm not going to waste mine. This is my final reply on this topic for now. Do something logical, such as editing the Bible, and after benefiting from that experience we can revisit this issue in a month or so.--Andy Schlafly 15:52, 6 January 2010 (EST)
- Why does it matter whether the users of the invention learn relativity? Most users of microwaves never learn Maxwell's equations either. That doesn't mean that the laws are irrelevant to the gadget's operation.
- Likewise, the engineers who correct the clocks of GPS satellites may not know or care that relativistic effects are behind the clock skew. But that dodges the point that relativistic effects are real, observable, and must be corrected for in several useful inventions.--NgSmith
- Here's a good source: | US Navy. As for engineers not bothering to learn relativity, I think that's a mite off the mark. I'm an engineer and I had to take a class dealing with the basics of SR, and I'm just an electrical engineer. Aerospace engineers certainly deal with relativity a great deal, as do nuclear engineers. DanieleGiusto 00:26, 7 April 2010 (EDT)
- Bah... My engineering professor worked at a synchrotron at Brookhaven National Laboratory. He was in charge of a beam line for the Naval Research Laboratory. They are actually very interesting devices in that they really help with all fields of science and even fields outside of it. My one friend conducted some research with a synchrotron when doing research with fuel cells. My engineering professor studied magnetic materials with a synchrotron. Every once in a while you also find stories like this http://news.discovery.com/human/brain-human-ancestor-skull.html which actually wouldn't have been possible without the synchrotron. I'm only just scratching the surface of how useful they are. Would you like some more information? AdamYak 14:35, 10 August 2010 (EDT)
- Yes, I would like more support for your claim. Relativity is not even part of most engineering curricula.--Andy Schlafly 09:17, 11 August 2010 (EDT)
- I disagree. It was evidently part of Daniele's curriculum, Adam's professor's curriculum, and mine (which is admittedly a mathematics curriculum, not an engineering currculum). So far, I don't think anyone in this thread has tried to explain that relativity doesn't work on synchrotrons. Should I take it that it does work? (At least in this specific case.) Disregarding for a moment the applications of particle accelerators, do they show that relativity works or that it doesn't?Toph 21:48, 8 November 2010 (EST)
Are not the atomic bomb and nuclear power examples of inventions based on the equivalence of matter and energy? MLS 9 Aug 10
GPS revisited
The same Tom von Flandern who is quoted in the article on the theory of relativity saying that the GPS programmers "have basically blown off Einstein", wrote in an article in 1998:
So we can state that the clock rate effect predicted by GR is confirmed to within no worse than ±200 / 45,900 or about 0.7%, and that predicted by SR is confirmed to within ±200 / 7,200 or about 3%. This is a very conservative estimate. In an actual study, most of that maximum 200 ns/day variance would almost certainly be accounted for by differences between planned and achieved orbits, and the predictions of relativity would be confirmed with much better precision.
As for how the satellites take into account the relativistic effects, here is his explanation of the so-called factory offset of the atomic clocks for the satellites:
GPS atomic clocks in orbit would run at rates quite different from ground clocks if allowed to do so, and this would complicate usage of the system. So the counter of hyperfine cesium transitions (or the corresponding phenomenon in the case of rubidium atomic clocks) is reset on the ground before launch so that, once in orbit, the clocks will tick off whole seconds at the same average rate as ground clocks. GPS clocks are therefore seen to run slow compared to ground clocks before launch, but run at the same rate as ground clocks after launch when at the correct orbital altitude.
Seems to me that relativistic effects have to be taken into account.
FrankC aka ComedyFan 13:13, 6 January 2010 (EST)
- Frank, your intuition ("seems to me") is wrong here, and the entry explains it clearly. GPS is a work of engineering and any timing discrepancies between the satellite and ground are obviously better handled directly by synchronization rather than asking a physicist what he thinks of relativity. Engineers don't even bother taking general relativity courses, let alone try to build a satellite system using them.--Andy Schlafly 14:44, 6 January 2010 (EST)
- The Time Service Department – a department of the U. S. Navy - states: “The Operational Control System (OCS) of the Global Positioning System (GPS) does not include the rigorous transformations between coordinate systems that Einstein’s general theory of relativity would seem to require – transformations to and from the individual space vehicles (SVs), the Monitor Stations (MSs), and the users on the surface of the rotating earth, and the geocentric Earth Centered Inertial System (ECI) in which the SV orbits are calculated. There is a very good reason for the omission: the effects of relativity, where they are different from the effects predicted by classical mechanics and electromagnetic theory, are too small to matter – less than one centimeter, for users on or near the earth.”
- As far as I can see there is no reason to feel sorry for FrankC: Your article only covers the idea of using the Lorentz transformation instead of the Galileo transformation when calculating the position of an object: one could say that it is about the relativistic effects caused by the movement of the GPS receiver, not of the GPS satellites. That's why it's talking about fast moving air-planes and satellites.
- FrankC (and others) have shown that there are relativistic effects on the satellites which are taken account of:
- Global Positioning System Standard Positioning Service Signal Specification, 2nd edition, June 1995:
- p. 13: To compensate for relativistic effects, the output frequency of the satellite's frequency standard -- as it would appear to an observer located at the satellite -- is 10.23 MHz offset by a Df/f = -4.4647 x 10-18 or a Df = -4.567 x 10-3 Hz.
- p. 39: The coefficients transmitted in subframe 1 describe the offset apparent to the control segment two-frequency receivers for the interval of time in which the parameters are transmitted. This estimated correction accounts for the deterministic satellite clock error characteristics of bias, drift and aging, as well as for the satellite implementation characteristics of group delay bias and mean differential group delay. Since these coefficients do not include corrections for relativistic effects, the user's equipment must determine the requisite relativistic correction. Accordingly, the offset given below includes a term to perform this function.
- (From Talk:Global Positioning System)
- RonLar 12:44, 3 August 2010 (EDT)
- I would like to second the points made by RonLar in that there is far too much evidence and calculations that indicate just how vital GR is to accurate calculations. The effects of gravitational and time dilation predicted by general relativity are not negligible over the course of one day. The article linked to above by RonLar is a fantastic review of some of the mathematics behind the (verifiable) predictions made by the theory of general relativity. - 14th August 2010 NotesTH
Several Clarification/Corrections
I am new to Conservapedia, so I don't fully understand exactly how this site is structured; in particular who has the ability to edit protected pages. This page is apparently protected, but in need of dire work even on the formatting/punctuation/style side of things. I hope someone with the required access to protected pages can incorporate some of these changes. In any event, here are some things that need to be clarified or corrected:
1. It is unclear what #6 is referring to by "overall space". Is this a reference to the flatness problem in cosmology? If so, that should be made explicit, and the most commonly accepted solution (inflation) should be mentioned for completeness. If not, the curvature of space locally is clearly demonstrated by the observed phenomenon of gravitational lensing.
2. #7 is just a feature of the incompatibility between general relativity and quantum field theory. In this sense, general relativity is of course wrong (just as Newtonian mechanics is, for example), because it doesn't apply accurately below distance scales where quantum effects emerge.
3. #8 is not a problem because quantum nonlocality doesn't allow for information transfer. Hence special relativity is not violated.
4. #10 is not a counterexample because gravitons are not predicted by general relativity. They are expected to exist and be predicted by a successful quantum theory of gravity, but general relativity is not such a theory.
5. #11 is not a counterexample to the theory at all. It may be an argument for why the theory should not be studied, but that doesn't mean it is false, and thus is not a counterexample.
6. #13 is presumably a reference to the horizon problem of cosmology. This should be stated, and, as for the flatness problem, the theory of cosmological inflation should be mentioned. (I realize inflation has not been empirically verified, but since the majority of cosmologists believe it is the correct explanation, it deserves a mention in an encyclopedia article.)
7. #14 is again the problem of the incompatibility of general relativity and quantum field theory (namely that QFT is not background-invariant). This is not a problem with general relativity, other than in the sense that it is only an approximation (like, say, Maxwellian electrodynamics are just an approximation to quantum electrodynamics).
8. #15, aside from the obvious grammatical error (violated instead of the correct violate), is again not a counterexample to general relativity. General relativity predicts wormholes only on the assumption that so-called "exotic matter" exists. This is matter that has net negative mass/energy, and so is predicted not to exist for precisely the reasons listed here (time travel and the like). But this is not a counterexample to general relativity itself, merely the observation that a mathematically possible solution does not have a physical manifestation.
9. #16 is again a quantum gravity issue. It is wrong to call black holes "highly ordered (and thus low entropy)", though. The fact is that science does not yet know how to count black hole microstates, so we don't know whether they are highly ordered or extremely disordered. But the best explanation seems to be that general relativity and the Second Law together suggest that black holes should have extremely high entropy, not low entropy. But again, this is not a counterexample to general relativity per se, since it makes no predictions about what black hole entropy should be.
::I believe a blackhole's entropy is determined by the surface area of its event horizon. In this sense, it doesn't have low entropy at all.
10. #18 appears to be a restatement of #11, and is thus both redundant, and not a counterexample for the reasons listed discussion #11.
I apologize for the length of this list of edits, but something really must be done to improve the quality of this article. I hope that someone with the appropriate access sees fit to make the necessary changes soon. Yill 17:12, 30 March 2010 (EDT)
- REPLY BELOW:
- 1. It is unclear what #6 is referring to by "overall space". Is this a reference to the flatness problem in cosmology? If so, that should be made explicit, and the most commonly accepted solution (inflation) should be mentioned for completeness. If not, the curvature of space locally is clearly demonstrated by the observed phenomenon of gravitational lensing.
- I'll clarify the obvious. It's still a counterexample. Science is not done by consensus, and inflation does not explain the overall flatness of space if relativity were true.
- You needn't be so condescending. I wasn't saying that it isn't a problem with general relativity, I was just saying that since this is an encyclopedia, relevant information should be included. Since a proposed solution exists, it should be mentioned, and perhaps debunked if it is flawed. So you could mention inflation, and then say why it fails to solve the flatness problem. Yill 21:19, 30 March 2010 (EDT)
- The theory of inflation does nothing "to solve the flatness problem" with respect its role as a counterexample to relativity.--Andy Schlafly 03:02, 31 March 2010 (EDT)
- Could you clarify this point? Perhaps you could state exactly what you believe the flatness problem is and how it is a counterexample to GR, just to be sure we aren't talking past each other, as I fear we may have been so far. Yill 16:55, 4 April 2010 (EDT)
- 2. 7: is just a feature of the incompatibility between general relativity and quantum field theory. In this sense, general relativity is of course wrong (just as Newtonian mechanics is, for example), because it doesn't apply accurately below distance scales where quantum effects emerge.
- So at what distances do you declare general relativity to be false? Is there a discontinuity at that distance? Such an approach is absurd.
- I mean, technically it is false at all length scales, just like any classical (non-quantum) theory (Newtonian mechanics, Maxwellian electromagnetism, classical statistical mechanics, etc.). But there exists a range of length scales at which it is extremely accurate, and those are the only ones to which it makes claims having any epistemological value. There is no discontinuity, it just gets progressively worse as quantum effects become more and more apparent, which occurs at smaller and smaller length scales. Quantum effects definitely need to be taken into account around the level of a nanometer or so in most systems of interest, so I would say this is about the regime where GR needs to stop being used. But of course, it depends on the system in question. Yill 21:19, 30 March 2010 (EDT)
- Not "technically it is false," but "it is false." So teach it that way.--Andy Schlafly 03:02, 31 March 2010 (EDT)
- See KrisJ's discussion below. Yill 16:49, 4 April 2010 (EDT)
- 3. 8 is not a problem because quantum nonlocality doesn't allow for information transfer. Hence special relativity is not violated.
- Your statement is a non sequitur, and may not be true. Special relativity does deny non-locality.
- It's not a non sequitur; the problem as I thought it was stated on the page is that special relativity does not allow information transfer faster than the speed of light. Since quantum entanglement cannot actually transfer information, this does not violate that provision of special relativity. Yill 21:19, 30 March 2010 (EDT)
- Special relativity does not define "information" nor was it developed in that context.--Andy Schlafly 03:02, 31 March 2010 (EDT)
- It is true that SR does not define information, but it does define causality (only events within each other's lightcones can be causally connected). Physical transfer of information (as defined by Shannon, and encoded in physical systems in Minkowski spacetime) between points in spacetime can only occur if those points are causally connected. (This SR fact is what the horizon problem, which is cited as another GR counterexample, relies on.) Yill 16:49, 4 April 2010 (EDT)
- Will respond to your other points later.--Andy Schlafly 18:11, 30 March 2010 (EDT)
- I appreciate your attention to my concerns, and I hope I have adequately outlined them. Also, I hope I would not be asking too much to request formatting consistency (like adding periods at the ends of nos. 7, 8, and 9). It would make it look more professional, like other articles I've seen on Conservapedia. Yill 21:19, 30 March 2010 (EDT)
- Yill, your grand total of contributions to this site has been 3 edits to this page, all easily refutable. Frankly, I don't think greater efforts at "formatting consistency" are justified.--Andy Schlafly 03:01, 31 March 2010 (EDT)
- Your not going to be able to attract many users if you disparage newcomers with respect to how few edits they've made. I would like to be a positive contributor to this site, but I have to start somewhere. I would appreciate encouragement and constructive criticism, not condescension and personal attacks. Yill 16:49, 4 April 2010 (EDT)
- Yill, good grammar requires "you're", not "your", in your statement above. All your edits have been 100% talk, in violation of our 90/10 rule, and honestly I see no insights in your talk. I suggest you try contributing substantively to Epistle to the Hebrews (Translated); it is on a much higher educational level and you'll benefit enormously from it.--Andy Schlafly 00:15, 5 April 2010 (EDT)
- You're right, I had a typo there; I apologize for the error. And I am well aware of the 90/10 rule, but seeing as the page I'm working on is protected, I'm not actually able to make any edits. If it were unblocked or I were given the ability to edit it, I would be more than happy to stop posting on this talk page and instead edit the article itself. And frankly I don't particularly see how it's relevant whether you personally happen to see any insights in my talk; my understanding is that Conservapedia is shaped and edited by its users, with appropriate oversight from administrators to ensure accuracy and prevent the chaos of Wikipedia. If need be, I'll appeal to those administrators to get the article fixed, since none seem to have come forward to help. I would love it if you would be willing to work with me to improve this article, but as it stands you seem to have little interest in doing so, having made no further contributions to the substance of the discussion. If you change your mind, I would be happy to work with you on this endeavor.
- As for your suggested article for me to work on, I don't really understand what you mean by it being on a "much higher educational level." However, as I have no expertise in Biblical Greek, I don't think I'd be able to make any meaningful contributions to the translation. I'll let the experts in that subject deal with that article. Yill 16:37, 5 April 2010 (EDT)
- Yill, I recommended the Bible because, as Isaac Newton pointed out, working on translating the Bible increases the quality of one's work in other areas, including science. Sure, I could drop everything else I'm doing and spend all day correcting you about this entry, but if you just picked up a Bible and improved your own work, then I could learn from you instead. I'll correct your misunderstandings below but doubt I will spend much more time responding to you if you're not willing to put in open-minded effort on your own.--Andy Schlafly 23:58, 6 April 2010 (EDT)
Yill, you raise excellent points, most of which have not been raised before. We should sharpen those points, here on this page, and then address them on the actual article page. This will take a fair amount of discussion. I could start by bringing up the discussion of point 7, inaccuracy of relativity at the quantum mechanical scale. One question that was raised was "Is there a discontinuity at that [microscopic boundary] distance? Such an approach is absurd.". No. The way quantum mechanics and classical theories interact at the (microscopic) scales where this happens is well known. It is, of course, generally known as the Bohr correspondence principle, described in any textbook on quantum mechanics, and known in more detail as Ehrenfest's theorem, described in more advanced textbooks. (Very briefly, the quantum mechanical realm eases into the classical realm according to the Ehrenfest theorem.) We should make some citations to those, and put in a careful explanation that, under QM, all classical theories are incorrect, and QM is the correct theory for everything, from atoms to planets. Classical theories are just extremely good approximations outside of the quantum-mechanical realm. And, of course, we do not know how that quantum-mechanical realm operated immediately after the big bang (that's what inflation theory is about), but that doesn't affect what we do know about general relativity in the macroscopic realm.
The item about point 10 is excellent. Gravitons arose after GR, from attempts to unify the theories. They have nothing to do with the macroscopic aspects of GR, which is what GR is actually all about.
KrisJ 10:04, 31 March 2010 (EDT)
- Teach that relativity is incorrect, if you concede the point. There are relativists who claim their theory is the most precisely verified theory of all.
- Those relativists claim that with respect to the macroscopic realm, as KrisJ referred to above. We are discussing how it breaks down at the microscopic level, when QM starts to play a role. Yill 16:49, 4 April 2010 (EDT)
- Gravitons are based on GR, and they are non-existent. Enough said.--Andy Schlafly 11:37, 31 March 2010 (EDT)
- No, for gravitons to be a counterexample to GR, they must be predicted by it. But they are not, just as photons are not predicted by Maxwellian electrodynamics. They are the "quantum" of the gravitational field, as photons are for the electromagnetic field, and are quantum by definition. GR is not a quantum theory; it manifestly does not predict them. Yill 16:49, 4 April 2010 (EDT)
- KrisJ, I appreciate your assistance with this project. I absolutely agree with your suggestions about 7 and 10, and hopefully we can find an editor with the ability to edit protected pages to help us implement them. If you know of any that could help us, you should ask if they would be willing. Yill 16:49, 4 April 2010 (EDT)
I guess I was wrong about not being able to edit this article. I'm going to delete #10, as per above, and make some formatting changes. I may also make some other clarifying edits. Yill 17:45, 5 April 2010 (EDT)
I also deleted the references to relativity being useful, since those have nothing to do with its epistemological validity. Yill 17:52, 5 April 2010 (EDT)
Curvature of Space
Re this edit: I don't disagree, but the example is a bad one. Based on local observations, one would assume that the Earth itself is flat, but it clearly isn't. My own point of view is that since the Universe can never be proved to be one thing or another, it is part of God's own ineffable being - it is almost folly to inquire further. RobertE 18:24, 30 March 2010 (EDT)
- No, one would not assume the Earth is flat based on local observations, as a ship can be observed to "rise" over the horizon. I don't agree with the "nature is God" view either.--Andy Schlafly 11:34, 31 March 2010 (EDT)
- Funny coincidence(?) that a defender of relativity invokes pantheism, since it was Einstein's (and Spinoza's) "god." DouglasA 13:50, 31 March 2010 (EDT)
- I actually think the edit has merit, as long as the word "initial" is inserted before curvature, since the problem is that any initial curvature should be vastly amplified over time as the universe undergoes its usual expansion. And it is in fact the global curvature that is the issue here; any manifold we use to model the universe is by definition locally flat (since this is a fundamental property of manifolds). The ship and horizon observation is not a local observation, since it is fundamentally predicated on the global curvature of the Earth. "Local" means that it can be done at arbitrarily small distance scales, which that observation cannot. Yill 17:06, 4 April 2010 (EDT)
General relativity predicts that space-time should be curved and not just spatial sections of the 4D spacetime manifold. And space-time is indeed observed to be curved (because the universe is expanding and is hence described by a curved FRW metric). This is true even if space alone is flat, as it is observed to be. That space is observed to be flat doesn't contradict relativity - it is a question of initial conditions of the universe and has a neat solution in inflationary cosmology. So Point no. 6 is absolutely unnecessary. Of course, most of the other points are too. But I just want to see how Andy will respond to this and edit the article so that it indeed can be said to belong to a "trustworthy encyclopedia".
Saywhat 08:19, 13 August 2010 (EDT)
- Your "of course" convinces no one. Why would you start with point 6 if you "of course" had answers for points 1-5?
- Relativity does imply that space as well as space-time are curved. The observation of a flat universe does contradict what would be expected if Relativity were true.--Andy Schlafly 10:03, 13 August 2010 (EDT)
- A trivial solution to Einsteins field equations for a vacuum can result in Minkowski spacetime. This is a 4D metric describing a pseudo-Riemannian manifold with no spatial curvature (i.e. flat). A requirement of GR is that in locally inertial frames (i.e. small enough regions of spacetime) we recover Minkowski spacetime. It's just that in GR the requirement of a locally Minkwoski spacetime does not always extend to a global case with curvature effects breaking down the notion of inertial frames for all observers. This means that a flat spacetime is a valid prediction arising from General Relativity. The presence of matter will, generically, curve spacetime but certain models such as the FLRW models used in cosmology permit solutions that predict a spatially flat Universe under a given condition. It should also be noted that the FLRW models are not static and do change with time.
- The observation of a flat Universe (spatial curvature parameter, K = 0 in the FLRW metric) is not in violation of GR and is a valid solution to Einsteins field equations (see e.g. Friedmanns Equations) and a generic prediction of models for inflationary cosmology whereby a rapid expansion in the early Universe drives the Universe towards a spatially flat solution, certainly within the observable Universe. Predictions from GR are still obeyed contrary to the comment "flat universe does contradict what would be expected if Relativity were true".
- I do not feel that the point in discussion is in any way a counterpoint to relativity. If other objections arise then perhaps this point would need to be further clarified so that any issues may be appropriately discussed? 15th August 2010
Reversion explained
Reversion was necessary for two reasons: first, to restore material that was improperly censored, and second, to revert an imprecise label put on one of the counterexamples.--Andy Schlafly 17:53, 5 April 2010 (EDT)
- I don't want to get into an edit war here, so I won't undo your reversion for now. But I fail to understand your reasoning, so perhaps you could clarify a bit instead of making the one sentence assertions that have made up your discourse so far. There is no censorship here, merely deletion of objectively incorrect statements. Perhaps you could actually bother to respond to my points above, rather than just reverting my edits without justification. In the meantime, I will replace the periods I added at the end of several of the counterexamples for formatting consistency; hopefully you don't consider that to be "censorship" as well. Yill 20:48, 5 April 2010 (EDT)
- You deleted valid information. Gravitons are predicted by an attempt to reconcile GR with quantum mechanics. Without GR gravitons would not be expected; with GR people do expect to find them. The wholesale deletion of reference to this is unwarranted, and simply conceals a real flaw in GR.
- First of all, I want to thank you for actually explaining your claims. Now we can actually have the real discussion KrisJ suggested above. You are perfectly correct in stating the gravitons are predicted by an attempt to reconcile GR with QM; that is precisely the point I was trying to make. But by your logic we could rightly conclude that the flaw is with QM rather than GR--without QM gravitons would not be expected either. On what basis do you claim that the non-observance of gravitons is a counterexample to GR rather than a counterexample to QM? (Also, I should note that just because gravitons have not yet been observed, that doesn't mean they won't be. For example, the non-observation of the Z boson did not constitute a counterexample to the electroweak theory between 1979 and 1983.) Yill 22:55, 5 April 2010 (EDT)
- Gravitons were historically proposed in trying to reconcile GR with QM. Other theories of gravity may not require gravitons at all. Does string theory? Gravitons are thereby attributable to GR, not to the more developed and better verified QM. Simply look at the name "gravitons" itself.--Andy Schlafly 00:23, 6 April 2010 (EDT)
- Actually, any quantum theory of gravity, whether it reduces to GR at large scales or not, requires gravitons by definition. Do you even understand what a graviton is? The quantum of a gravitational field. Just as any quantum theory of electromagnetism must include the photon in its particle spectrum, any quantum theory of gravity must include the graviton in its particle spectrum. And yes, string theory requires them; the entire reason string theory started being developed as a theory of everything is that gravitons (i.e. massless spin-2 bosons) naturally appear as part of its particle spectrum! Yill 14:57, 6 April 2010 (EDT)
- Yill, do you know what action-at-a-distance is? It doesn't require the fictional gravitons. Newtonian mechanics doesn't require such imaginary particles.--Andy Schlafly 00:00, 7 April 2010 (EDT)
- Do you know what quantum means? Please acknowledge that you do, and that you know Newtonian mechanics is not a quantum theory, and therefore that your response does not address my concern. Yill 00:19, 9 April 2010 (EDT)
- The "flatness problem" refers primarily to curvature expected from inflation, not GR itself. It is misleading to call the counterexample the "flatness problem," and then pretend it has a solution. The counterexample described is not resolved.--Andy Schlafly 21:12, 5 April 2010 (EDT)
- The flatness problem refers to the fact that, in an inflation-free universe, the FRW metric with matter and radiation equation-of-state parameters predicts that any initial nonzero curvature will increase vastly in magnitude, leaving a highly curved universe at present. Inflation is proposed as a solution to the flatness problem; it is not the cause of it. The process of inflation drastically flattens any initial curvature in the universe so dramatically that even after the curvature increase undergone under normal evolution, the universe still appears nearly perfectly flat. Yill 22:55, 5 April 2010 (EDT)
- Wait, I just realized that I think we may be talking past one another here. I interpreted the counterexample listed on the page to be the flatness problem, but based on your response I guess that it is not. (Obviously the flatness problem is not a counterexample to GR itself, just to the use of the FRW metric for modeling the universe.) This counterexample seems to be more fundamental, namely the claim that space is nowhere curved, as GR says it must be by matter and energy. Is that correct? Yill 23:25, 5 April 2010 (EDT)
- A type of inflation is proposed to try to explain the unexpected flatness. But there's no way around the basic problem: GR says that space is curved by matter, and an overall flatness is impossible under such a model. Yet an overall flatness is what is observed.--Andy Schlafly 00:23, 6 April 2010 (EDT)
- I still don't understand what you're saying. The overall visible universe is flat, at scales large enough that it can accurately be modeled as homogeneous and isotropic. (These scales are beyond the sizes of galactic clusters.) But on much smaller scales, where these assumptions obviously break down, matter does indeed curve spacetime; the phenomenon of gravitational lensing is precisely such an example. If you are at all confused by these different notions, I would recommend taking a look at a modern textbook on the subject; Barbara Ryden's Introduction to Cosmology is a good place to start. Yill 14:57, 6 April 2010 (EDT)
- Dark matter supposedly permeates the universe, and there's no way it would be flat if GR were true.--Andy Schlafly 00:48, 7 April 2010 (EDT)
- Okay, now that is a total non sequitur. Again, instead of making blanket assertions, perhaps you should learn why, given that they believe dark matter permeates the universe and that it is flat on large scales, cosmologists still think GR works. Let me enlighten you. If the universe were evenly filled with a uniformly dense substance, the curvature would be flat. Yet there were would be matter in it! And that's it. On large enough scales, that's how the universe appears. Hence there is no contradiction. Yill 00:19, 9 April 2010 (EDT)
- An additional clarification to the previous discussions: According to Einsteins equations (neglecting the cosmological constant for now):
in which:
is representative of the curvature of spacetime (Ricci tensor) and
is representative of the matter/energy content of the given model (Stress-Energy tensor). So Einsteins equations state that the presence of matter gives rise to curvature effects in spacetime. In FLRW cosmology the existence of a spatially flat solution is possible if the total density ~ critical density required for a flat Universe. The fact that the Universe is non-static and we currently include a dark energy component does not mean that a Universe that is currently observed to be spatially flat is in conflict with predictions of General Relativity. The flatness problem is more of an initial value problem/fine tuning problem than that of a breakdown in GR.
Proposed page move
Can someone rename the article so the R is lowercase in the title? Thanks, GregoryZ 22:21, 29 July 2010 (EDT)
- Why? The term refers to a specific theory, and the many counterexamples to it.--Andy Schlafly 22:31, 29 July 2010 (EDT)
- My simple rationale is "relativity" is not a proper noun. Wikipedia uses the lowecase and so does Wester's, so why not here? --GregoryZ 22:36, 29 July 2010 (EDT)
- It's not a traditional proper noun, you're right, but it does satisfy all the conditions underlying why proper nouns are capitalized. It is a unique term-of-art, having a specific meaning other than the general meaning of the word. As used in physics, "Relativity" is different from the generic "relativity".--Andy Schlafly 23:01, 29 July 2010 (EDT)
- However, it is my belief, "relativity" in this case should not be treated differently. Look at the Wikipedia article, it uses "relativity" in that sense. Also, the CP article on the subject uses the lowercase as well, so I still see no point in capitalizing it here. --GregoryZ 23:07, 29 July 2010 (EDT)
- The word "relativity" dates from the early 1800s. That's not what is being discussed here. If preceded with "theory of" then there is no need to capitalize; if stand-alone, however, it does add clarification to capitalize as is done for other specific concepts that differ from the generic names.--Andy Schlafly 23:52, 29 July 2010 (EDT)
Curl of the gravitational field
Sorry to get over-technical, but the fundamental law of "fictitious forces" (including gravity) is that the force field (divided by the mass of the test object) is
Its curl is
where the semicolon indicates the covariant gradient.
When you work this out, it involves derivatives of the
quantities. In general relativity, the results are zero by symmetries of Riemann's tensor.
Simeon 21:33, 30 July 2010 (EDT)
- Perhaps so, but the "twin paradox" in Relativity states that the age of each twin is dependent on his path of travel. For a conservative field, all physical parameters are path independent.--Andy Schlafly 23:07, 30 July 2010 (EDT)
- Simeon, your mathematical work is rigorous and correct. However, the twin paradox example is interesting to study here. I am aware that the twin paradox is solved by the non-inertial turn-around of the ship when it is going back home. However, in this solution, it is still noted that there is an age difference between the twins. Wikipedia affirms this and so do other sites. Such an age difference in twins shows that there is some sort of path dependence. I understand that traveling at near-c speeds in space is not the same thing as moving from point A to B in a gravitational field, but the concept does seem to be a bit similar. Could you maybe explain this for us a bit? Thanks. PhyllisS 00:52, 31 July 2010 (EDT)
OK, I think I understand. I assumed that the "conservative field" / "curl is zero" stuff referred to the gravitational force field. If it refers to the passage of time, that's different. It isn't true that "all physical parameters are path independent". An extremely important one that isn't path independent is the arc length of the path or arc. You can draw a short straight line from A to B, or a long loopy line that starts at A, wanders around, and eventually gets to B. Why is this relevant to the twin paradox? Because, in relativity, an observer's own elapsed time ("local time") is really just the arc length of his "world line" in Minkowski space. Minkowski was an extremely smart guy, by the way. The twin that stays home takes a direct route from point A (their birth) to point B (the moment they compare ages and see that one has gray hair and wrinkled skin.) The other twin takes a very roundabout route, getting in a rocket and going to Alpha Centauri and back. Their path lengths are their local times, which are different. (Why is the length of the roundabout path actually shorter, so that that twin ages less? Because, in Minkowski space, using the "timelike convention" that all the best people use :-), motion in space subtracts from the elapsed time. That's just the way it works.)
Now I assume that there is no dispute about the facts of relativistic time dilation. In addition to being predicted exactly by the Lorentz transform, it has been observed in practice in cosmic ray muon decays, as well as countless observations in particle accelerators. The "twin paradox" is just an extreme consequence of this. It has of course never been observed in that form, just as we don't know whether Schrodinger's cat is alive.
The "twin paradox" is a consequence of special relativity, not general, and hence does not relate to gravity. I hate to be the umpteenth person to tell you that general relativity is too hard to explain, but it's kind of true. I barely understand the most rudimentary basics. (When Eddington made his comment about only 3 people in the world who understand gen. rel., I wasn't the third! :-) But I can say that you don't need to worry about general relativity to understand the "twin paradox". You can finesse the Minkowski-space curvature of the path during the turnaround at Alpha Centauri, and just say that the twin went there and came back. So was something physically different, that the twins could observe? You bet. The "younger" twin will remember having experienced 6 months of horrendous acceleration in the ionic-drive rocket, followed by a year of horrendous turnaround, and another 6 months of horrendous deceleration at the end. She will have soft, smooth skin, but at a great cost. :-)
Sorry to be so long-winded. In quick summary, the thing that's different about the paths is their length, and that is exactly the local elapsed time. Simeon 00:07, 1 August 2010 (EDT)
- Simeon, time dilation occurs under the Theory of General Relativity also, so your analysis above is not persuasive in resolving this example of a non-conservative effect. Moreover, your repeated claims about how supposedly only geniuses can understand this are getting tiresome. That approach is a recipe for mistaken reliance on unjustified authority.
- If you don't feel this is understandable, then simply say so and stop there; please do not imply that people should just accept what someone of undisclosed political views claims.--Andy Schlafly 10:58, 1 August 2010 (EDT)
I give up.
- The only scientists I mentioned were Minkowski and Eddington, and the latter just as a joke. I never said anything about their, or anyone else's, politics.
- Time dilation does indeed occur under both general and special relativity. The point I was trying to make is that general relativity is simply not needed to understand the twin paradox. It only takes special relativity, which is much better understood. I'm sorry to hear that, by not analyzing the twin paradox in terms of general relativity, my persuasiveness suffered.
- I apologize if I "talked down" to you and Phyllis with my comments about GR being too complicated. I assume that both of you have heard, many times, that GR is exceedingly complicated. I was simply trying to soften the blow by pointing out that you don't need GR. And cracking that joke about how Eddington could not have been referring to me.
- In fact, I know a fair amount about GR. I could analyze the twin paradox in terms of the gravitation of Earth and Alpha Centauri. But there is simply no need to.
- This "non-conservative effect" business simply makes no sense. If the integration of a vector field along different paths gets different final results, then that field is non-conservative. You seem to be saying that the passage of time is some kind of vector field, and that the final results of "integrations" (the two different values of local time at the end of the experiment) are supposed to be the same, and that the difference shows that this "vector field" is not conservative, and that that is a counterexample to relativity. The passage of time is not a vector field. The different values of time, as seen by different observers, is not a counterexample to relativity, it is one of the principal effects of relativity. It's really what the word "relativity" means when discussing the scientific Theory of Relativity.
- If you really think that the non-globality and non-absoluteness of time is a counterexample to relativity, then so be it.
Simeon 23:13, 1 August 2010 (EDT)
- Simeon, if you "give up," then that is your own choice. You have not disproved the counterexample. Instead, you first described the twin paradox as being only about special relativity, and when I pointed out that it exists under general relativity too, you then agree yet do not fully address the substantive issue presented by the paradox. For example, the amount of acceleration undertaken by the twin in his journey will affect his age independent of his time spent away. His subsequent age is not path independent even in time-space coordinates.
- It's easy to search for "general relativity" and "conservative field" on the internet and see how little has been written about this. That is telling in itself. I'm happy to continue to discuss this here with you or anyone else.--Andy Schlafly 23:56, 1 August 2010 (EDT)
- Could you clarify what the ages (and path dependence thereof) in the twin paradox have to do with conservative fields? --KyleT 14:04, 2 August 2010 (EDT)
- Age is scalar physical attribute. It should not be path dependent in a conservative field.--Andy Schlafly 14:31, 2 August 2010 (EDT)
- Yes, but which conservative field in particular are you talking about here (that implies age is not path dependent)? --KyleT 14:37, 2 August 2010 (EDT)
- Gravity.--Andy Schlafly 14:53, 2 August 2010 (EDT)
- Well, in Newtonian mechanics, the gravitational field is indeed conservative -- it's the negative gradient of the gravitational potential! But what this means is that gravitational potential energy is path-independent: it doesn't say anything about path-independence any other quantities, and in particular it's not the reason for the path-independence of age. --KyleT 15:00, 2 August 2010 (EDT)
- You take a narrow view of the significance of a "conservative field." Independent physical attributes should remain path-independent as well for the field to be conservative. In Newtonian mechanics and most other physical force fields, they do.--Andy Schlafly 15:41, 2 August 2010 (EDT)
- By a conservative field, I mean a vector field on space for which there exists a scalar function V with the gradient of V given by that vector field. This doesn't imply the path-independence of any physical quantities other than V itself. If you this view as too narrow, can you tell me what you take to be the definition of a conservative field? --KyleT 15:57, 2 August 2010 (EDT)
- Your definition is too narrow when discussing the theory of relativity, which describes the framework in which the force operates. To be meaningful, the definition must be broader. It must ensure the path independence of the scalar, as well as other scalars independent of that scalar.--Andy Schlafly 18:12, 2 August 2010 (EDT)
- Can you tell me what the correct definition is, then? I have pretty good background in this stuff, no need to dumb it down, just be precise. Certainly no field at all is going to conserve every scalar function, so I'd like to know which ones you want. --KyleT 18:20, 2 August 2010 (EDT)
- Kyle, I have an open mind about this, and don't see a precise definition anywhere that would be meaningful with respect to the theory of relativity. It's striking how relativists avoid this issue, and even stop discussing it when it is brought up.
- I can propose a definition that you may be able to improve. How about: a conservative theory of motion is one whereby scalar values of a particle are independent of its path of motion.--Andy Schlafly 18:36, 2 August 2010 (EDT)
That's an interesting proposal, and I too have an open mind about this. Can you give an example of such a conservative theory of motion? One such would greatly help in devising the correct definition. --KyleT 19:29, 2 August 2010 (EDT)
- Newtonian mechanics would be an obvious example. By the way, how do you explain the general lack of discussion and papers about whether the theory of relativity is conservative, including the abrupt departure of User:Simeon from this discussion?--Andy Schlafly 21:58, 2 August 2010 (EDT)
- Some scalar values in Newtonian mechanics are conserved because there exist associated conservative fields (or more generally symmetries of the Lagrangian). What is an example of a scalar value in the Newtonian mechanics that is not of this type, which makes this a conservative theory of motion while relativity is not?
- I don't know why relativity's defenders won't confront this. Maybe that could be the topic of the debate page -- I'm interested using this discussion to sharpen counterexample 21. --KyleT 23:55, 2 August 2010 (EDT)
- This is a really interesting discussion. I think I made a gross mistake in my first post. The theory of relativity urges us to think of the three space coordinates (x, y, and z) and the time coordinate (t) as four coordinates of space-time - that is, that space and time are pretty much the same. I extrapolated from this that since there can be a (conservative) gravitational field in space coordinates, there can also be some sort of conservative field depending on the time coordinate. I then extrapolated this notion to special relativity, and the twin paradox; I postulated that maybe time dilation effects were the work of a non-conservative field that was dependent on the t-coordinate. Now I see that this was all somewhat foolish. However, I wanted to ask you all: can you have a conservative or non-conservative field with respect to time? If not, I think time should not be considered as almost the same thing as x, y, z space. I feel that the ability for a dimension to have a field (conservative or not) is integral to its being considered a space-like dimension.
- Aschlafly, the fact that the twin paradox exists in general relativity is irrelevant. Yes, sure, the twin paradox occurs within space where general relativity is working, but there are no effects acting on the twins that influences the twin paradox in any way. Likewise, User:Simeon 's departure is also irrelevant.
- What about black holes, though? Surely their gravitational fields aren't conservative, since once an object passes the event horizon, you can't retrieve it. PhyllisS 01:24, 3 August 2010 (EDT)
Phyllis:
You seem to be very curious about this topic. I'm going to try to give an intuitive, but nevertheless scientifically correct, explanation of what is going on with relativity, the "twin paradox", and vector fields, potential functions, and path integrals. This explanation will probably seem long and tedious, for which I apologize in advance. I also apologize if it seems that I am being too "folksy", or talking down to you. Please bear with me, and please pay close attention.
We have a parking lot, and two twins, who are fitness enthusiasts and always wear pedometers wherever they go. There are two spots, "X" and "Y", painted on the parking lot. Both people stand on spot "X", set their pedometers to zero, and start walking. Twin A simply walks directly to spot Y. Twin B, being more into fitness, walks all over the place, eventually arriving at B.
Now there are quite a number of things we can say. First, the temperatures vary all over the place. They are a scalar field. That means that they are associated with location on the parking lot, not with any particular observer. They are objective measurements that everyone agrees on, because they are aspects of space itself. Our fitness enthusiasts are also amateur meteorologists, and carry thermometers around with them.
- Twin A: "When I was at the green Toyota, I noticed that the temperature was 67 degrees Fahrenheit."
- Twin B: "By coincidence, I also wandered past the green Toyota, and got the same reading."
By the way, since temperature is a scalar field, it has a gradient, which is a vector field. That field is conservative, according to the theorem of mathematical physics that says that curl grad Φ = 0 always. This gradient is a vector field. Like the scalar of temperature, it is a property of the space (parking lot) itself. If the twins had been measuring this gradient (perhaps they carry around fancy "differential thermometers"), they would have gotten the same vector at the green Toyota.
There is also a theorem of mathematical physics, sort of the opposite of the theorem above, that says that, if a vector field V has a curl of zero:
- You can make a scalar field
(a property of the space itself, not tied to any particular observer) that it is the gradient of. That scalar field is called the "potential" for the (conservative) vector field. (By the way, this is very closely related to "exact differential equations" that you wrote about! Do you see the connection?) - If you integrate that vector field along any path between two points A and B (that is, you calculate
for that path, where "dl" is the "line element" along the path), you will get
.
- Since
is a property of the scalar field itself (and the points A and B), it follows that that path integral is the same for all paths. And if the path ends on the same point it started on, the integral is zero.
- Twin A: "I was measuring the gradient of the temperature as I walked, and calculating its path integral as I went. I got an answer of 4 degrees."
- Twin B: "I was doing the same. My integral was much harder to calculate, because I was going all over the place. But I also got 4 degrees. Hey, wait a minute! The temperature at the start point was 68 degrees, and at the end point it was 72 degrees. That explains it."
Now someone at the edge of the parking lot was running a Van deGraff generator, so there were electric fields all over the place. The twins are also physics students, and carry electroscopes wherever they go. They measured the electric field, and calculated its path integrals. The electric field is conservative (in the absence of varying magnetic fields), so they got the same integral. That integral was 600 volts (it's only static electricity, so it isn't dangerous). Since the electric field is conservative, there is, by the previous theorem, a potential function. That function was 600 volts higher at point B than at point A.
Now here's the kicker:
- Twin A: "I walked directly from A to B. My pedometer says 150 feet."
- Twin B: "I took a long route all over the place. I walked half a mile."
The pedometer readings are not a scalar field. They are not a property of the space itself. They are properties of the observers. Even though they, in some sense, measure an aspect of the parking lot (how many molecules of asphalt one passes), they are artifacts of the twins' actions.
The twins could have been integrating their motion vectors; that's sort of what pedometers do. But those vectors are not a vector field on the space itself. It makes no sense to ask whether that "vector field" is conservative, because it isn't a vector field. A vector (or scalar, or tensor) field has to be a property of the space itself. These "pedometer vectors" are just things that the twins make up as they walk.
Now for the "twin paradox". The parking lot is replaced by "Minkowski space", also called "4-dimensional space-time". "Points" in this space are now "events", complete with a time. Events A and B are now the act of the twins saying goodbye as one of them got into the rocket, and the act of them re-uniting after B returns. Twin A took a direct route (called her "world line") from A to B. She used a coordinate system in which the spatial coordinates of A and B were the same (Cape Canaveral, latitude yada yada, etc.) and the time coordinate differed by 30 years (2010 to 2040.) B went to Alpha Centauri and back. When she returned, they were both using the same coordinate system (location is Cape Canaveral, latitude yada yada, time is 2040.) But she looks at her watch, and only 5 years have elapsed! What the watch shows is not a scalar field on spacetime. It was not the path integral of a vector field on spacetime. What she integrated was the ticking of her watch, nothing more.
The path that A took is called a geodesic. It is the Minkowski-space equivalent of a "straight line". But, because of the peculiarities of relativity, it shows the longest elapsed time (30 years) of all paths, rather than the shortest. By going to Alpha Centauri, twin B took a shorter path, in terms of the way path length is measured in Minkowski space.
Very interesting fact: The path length in Minkowski space, that is, the sum of the tiny distances as measured by the Lorentz/Minkowski metric, is the same as the local time. That is (assuming you are using the "spacelike convention"), everyone's wristwatch measures path length along their own world line. The twins simply followed paths of different lengths. That's all there is to the "twin paradox". (That is, that's all there is to it, if you analyze it correctly, as I have described above. Most introductory treatments of relativity don't do it this way. They just throw the Lorentz transform at you.)
Now there are a few points about the "twin paradox" that people find confusing.
First, aren't the laws of physics supposed to be the same for everyone? What made twin B's watch run slower? Well, she knew she was traveling at high speed. She brought an accelerometer with her in the rocket. Just as twin B in the parking lot knew she was walking all over the place, turning around and such, twin B in space knew that her world-line was turning, and therefore wasn't a straight line (geodesic). How did she know? It takes force to make you deviate from a geodesic (this is really pretty much the same as Newton's laws of motion), and she felt the force.
Second, how can we analyze the curvature of B's world line? Here's where general relativity has to come in. As soon as world lines start to curve, you have to measure their curvature, that is "geodesic curvature". You get into complicated issues of curved coordinate systems (you're in one now; it's what you perceive as "gravity"!), and curved spacetime, and so on. And you get into the
symbols, which measure the deviation from a geodesic, and hence the "fictitious forces" that you feel. This is why general relativity is related to the "twin paradox", in that the space ship followed a curved trajectory and experienced acceleration. But, to analyze the plain facts of the "twin paradox", all you really need to know is that twin B followed a crooked line. Place your ruler on a diagonal on the graph of Minkowski space, draw the line out to Alpha Centauri. Turn the ruler, draw the returning line. Ignore the impossibly sharp corners. Use special relativity to analyze the Lorentz transform for each section of B's world line.
Oh, and to try to answer some of your specific questions, the gravitational field, under either Newtonian or relativistic mechanics, is a conservative field. Its curl is zero. If it weren't, conservation of energy would be violated, and we could make a perpetual motion machine by having a planet run around in circles picking up energy. The "curl=0" aspect of gravity under general relativity is more complicated, because true vector fields have to be on Minkowski space, but it still conserves energy. When Mercury orbits the Sun, its perihelion precesses because of relativistic effects, but its energy is conserved.
I'll try to think some more about your black hole question and get back to you.
Simeon 00:00, 4 August 2010 (EDT)
- Simeon, thanks so much for your long explanation! All of that made sense to me, and cleared up the issue of field as property of space vs. path specific to person vs. curved spacetime. Also, yes, I noticed the similarity between exact differential equations and deriving potential functions from vector fields - the former I studied in Differential Equations and the latter I studied in Multivariable Calculus.
- So, if I understand you properly, gravity both (a) curves spacetime and (b) creates a conservative field. (I derived (a) from your point: "You get into complicated issues of curved coordinate systems (you're in one now; it's what you perceive as "gravity"!)", and (b) from your point: "the gravitational field, under either Newtonian or relativistic mechanics, is a conservative field. Its curl is zero.") However, you're saying that if you are in an accelerating reference frame (such as a quickly-spinning merry-go-round) only (a) occurs; there is no field. Is this correct? If so, why is there this discrepancy between the two? PhyllisS 22:54, 4 August 2010 (EDT)
Yes, gravity curves spacetime. It looks as though you're ready to go to the next level. It has to do with curved coordinate systems vs. curved spacetime. This is why GR is so complicated. But here goes.
First, we have to recognize that, at some level, we could say that energy is *not* conserved. Spacecraft use "slingshot maneuvers" around one planet to gain extra energy on their way to another planet. I assume you've heard of this. Cassini used three such maneuvers, twice around Venus and once around Earth. So what was going on? If you look at a coordinate system centered on Venus, you would see Cassini come in and go out again, with complete conservation of energy. But, in a coordinate system fixed around the solar system, Venus was moving, so Cassini came in at low speed and went out at high speed. We "stole" some energy out of Venus's orbit. So, to be really correct, we have to say that gravity is a conservative field in the absence of moving gravitating bodies.
But, in the larger sense, energy is conserved. Always. Newtonian or relativistic. (But in relativity, the mass figures into the equation. Let's not worry about that just now.)
Now we get to the really cool stuff. Your comment above suggests that you are ready for it.
You will feel a "fictitious force" whenever you are in a "curved spacetime coordinate system". A curved coordinate system would include things like polar coordinates on the plane, or spherical coordinates in 3 dimensions. But this is 4-dimensional spacetime. So I'd like you to take my word for this. On a rotating merry-go-round, your 4-dimensional spacetime coordinate system is curved. (This doesn't require relativity, special or general, to formulate this.) The 3-dimensional slice of it is flat, but, when you bring in time, and the spatial coordinates are accelerating, the overall coordinate system is curved. This creates fictitious forces. In the case of the merry-go-round, the forces are the centrifugal force and the Coriolis force. There are also the fictitious "acceleration G forces" in a rocket. But the spacetime itself isn't curved. It's like polar coordinates on the plane. Yes, the coordinate system is curved, but the plane isn't. There are Cartesian coordinates on the plane also. Similarly, an observer on the ground is in a flat coordinate system, and doesn't see any fictitious forces. He just sees the mechanism of the ride pushing you inward as you go around. Your recoil against that acceleration is what you perceive as the centrifugal force.
So the moral of the story would seem to be: you can choose a flat coordinate system that exposes the fictitious force for what it is. It's a perception from the curved spacetime coordinate system that the observer is operating in.
But how about gravity? In the case of gravity, spacetime itself is curved. If spacetime (properly called a "manifold") is curved, every coordinate system is curved, and the fictitious force which is gravity is inescapable.
So your statement "gravity curves spacetime", is exactly correct, but you have to distinguish "curving spacetime" and "curving some particular coordinate system". The actual curvature involves things called "Riemann's tensor" and "Ricci's tensor".
The number of people that understand this is way more than the 3 that Arthur Eddington claimed (it was more than 3 but probably less than 10 at the time), but it's still a pretty complicated subject.
Simeon 00:03, 5 August 2010 (EDT)
- Simeon: Ah, that does make a lot of sense now. Thanks so much for explaining this to me. Hmm, that really is an elegant concept -- wow. Cool! PhyllisS 13:50, 5 August 2010 (EDT)
Misleading Reference
The counterexample #18 has as an reference:
Contrary to the claims of Relativists, the GPS system has never been based on Relativity. The Time Service Department, U.S. Navy, observed that "the Global Positioning System (GPS) does not include the rigorous transformations between coordinate systems that Einstein’s general theory of relativity would seem to require" in part because "the effects of relativity, where they are different from the effects predicted by classical mechanics and electromagnetic theory, are too small to matter – less than one centimeter, for users on or near the earth.”
That's wrong: From the very beginning of the program, some relativistic effects were taken into account. As Conservapedia states at its article on GPS the Naval Research Lab in Washington published its report on the Initial Results of the NAVSTAR GPS NTS-2 Satellite in 1978 and listed the following GPS objectives that have been achieved to date:
- launch insertion into GPS constellation position
- demonstrated orbit stability and controllability
- first cesium frequency standard in space
- verification of relativity theory
But not only did the initial experiments bolster the theory, some relativistic effects have to addressed in general use - in the official specification for the GPS project , i.e., the Global Positioning System Standard Positioning Service Signal Specification, 2nd edition, June 1995, you find the following:
p. 13: To compensate for relativistic effects, the output frequency of the satellite's frequency standard -- as it would appear to an observer located at the satellite -- is 10.23 MHz offset by a Df/f = -4.4647 x 10-18 or a Df = -4.567 x 10-3 Hz.
p. 39: The coefficients transmitted in subframe 1 describe the offset apparent to the control segment two-frequency receivers for the interval of time in which the parameters are transmitted. This estimated correction accounts for the deterministic satellite clock error characteristics of bias, drift and aging, as well as for the satellite implementation characteristics of group delay bias and mean differential group delay. Since these coefficients do not include corrections for relativistic effects, the user's equipment must determine the requisite relativistic correction. Accordingly, the offset given below includes a term to perform this function.
It's true that not all effects are covered yet: as I stated above, the quoted article of the The Time Service Department, U.S. Navy addresses effects caused by the fast movement of some of the GPS-receivers - something which will doubtless be included as the number of fast receivers grows.
RonLar 15:03, 9 August 2010 (EDT)
Ehrenfest's Paradox
This has been resolved and should be considered an apparent paradox. See here. Meatstick 11:07, 10 August 2010 (EDT)
Momentum issues
It should be explained why numbers 4 and 20 are counterexamples. It isn't adequately explained why these would even present issues with the theory. Actually they look like explanations of part of the theory. Meatstick 11:12, 10 August 2010 (EDT)
- Number 4: for mass that is infinitesimally small, its momentum goes to infinity under Relativity as its speed approaches the speed of light. But this is absurd because if the mass is precisely zero rather than infinitesimally close to zero, its momentum is finite at the speed of light.--Andy Schlafly 12:05, 10 August 2010 (EDT)
- Are you sure that this is true? What are you fixing? One formula for relativistic momentum is
. This remains a differential quantity in
as velocity becomes infinite:
. Fixing energy gives the correct momentum result in the limit as velocity becomes infinite. Maybe the misunderstanding results from taking two limits at once -- the prefactor that depends on velocity becomes infinite while the rest-mass dependence remains linear. TylerGD 13:28, 10 August 2010 (EDT)
- Are you sure that this is true? What are you fixing? One formula for relativistic momentum is
- Energy does not remain fixed as velocity increases to the speed of light. You seem to be avoiding the central point.--Andy Schlafly 11:11, 11 August 2010 (EDT)
Wormholes
There seems to be some confusion on the difference between predicting and allowing. General relativity allows wormholes under some conditions. But a lack of observed wormholes or even a lack of wormholes would not be inconsistent with the theory. TylerGD 16:27, 10 August 2010 (EDT)
Inability of theory to lead to other insights?
Although this can hardly be considered true, would it be a counterexample to relativity if it were? Couldn't this be a failure of scientists or a testament to the finality of a theory? TylerGD 16:28, 10 August 2010 (EDT)
- No, because the theory has been around for more than a century.--Andy Schlafly 09:18, 11 August 2010 (EDT)
- Why could this not be a failure of scientists? Anyway, what about the Dirac description of the electron? You can only claim that the theory failed to lead to other insights if you ignore the other insights. TylerGD 10:24, 11 August 2010 (EDT)
- Relativity has been better funded than most theories, so it is a defect in the theory that it has yielded so little for the effort expended.--Andy Schlafly 11:12, 11 August 2010 (EDT)
- The theory of GR has led to many insights regarding astrophysical phenomena. In particular GR plays an important role in discussing: Neutron Stars, Black Holes, Large-Scale structure, Cosmological Perturbation Theory, Stellar Evolution, Gravitation Waves, Gravitational Lensing, etc. Many concepts in modern astrophysics have been motivated using insight from GR. Additionally many developments in Quantum Field Theory (as used in Condensed Matter and Particle Physics - e.g. predictions of verifiable decay rates, cross-sections and so on), Relativistic Quantum Mechanics and Particle Physics take special relativity as an absolutely fundamental starting point. Many modern day particle accelerators require special relativistic corrections in order to work properly. - 15th August 2010 NotesTH
- NotesTH, you list some unproven dead ends like never-observed "Gravitation Waves," but fail to identify any verified insight. Indeed, the length of your list highlights its lack of a quality insight.--Andy Schlafly 16:38, 15 August 2010 (EDT)
- Gravitational waves have not been directly observed, no, but there is significant indirect evidence. Most commonly cited is the | Hulse-Taylor binary. In the linked article it is claimed that a "0.2%" demonstrates the failing of relativity. On the contrary, the fact that a theoretical model for a binary star system could predict a gravitational wave emission that matches observations so extremely closely is extraordinary. The supposed correction term for "galactic acceleration" exists because the initial model is not perfect and nor was it ever meant to be. A 0.2% error is a fantastically small difference and demonstrates that GR provides an extremely accurate and verified prediction for the observed decay of a binary system due to emission of gravitational waves. The authors of the quoted paper state "Accuracy of the test for gravitational radiation damping is now dominated by the uncertainty in the galactic acceleration term. Work now underway should lead to improved accuracy of the pulsar proper motion, and the Sun’s galactocentric distance may be better known in the future. However, we see little prospect for a significant improvement in knowledge of the pulsar distance. Consequently, it seems unlikely that this test of relativistic gravity will be improved significantly in the foreseeable future" - that's simply a statement to the effect that there were some unknown parameters not included in the initial model but nowhere near enough to even remotely claim that the model is being tweaked to fit the theory, not for a 0.2% difference. In addition check out | article on pulsar tests of GR | it's follow up article and the following review of pulsars and GR: | Testing GR with Pulsar Timing. I feel that these articles further demonstrate that this is not an isolated case.
- You also seem to have neglected the other points. Rather than trying to talk about everything, it would take far too long in one sitting, I'll focus on the particle side of things. I've already stated that modern particle accelerators take into account relativistic effects - e.g. particle energies (using the relativistic energy equation:
, synchotron radiation | Synchotron at the LHC, particle lifetimes and so on. All of these require calculations from relativity that have been experimentally measured and verified. For instance all the predicted particle lifetimes and decay rates would require quantum field theories (which require relativity as a relativistic quantum theory) to predict the expected values which can then be matched to observations. We find that they are an extremely good fit to observations. Another example of such a calculation would be in predicting the | magnetic moments of particles - theory matches observations extraordinarily well.
- You also seem to have neglected the other points. Rather than trying to talk about everything, it would take far too long in one sitting, I'll focus on the particle side of things. I've already stated that modern particle accelerators take into account relativistic effects - e.g. particle energies (using the relativistic energy equation:
- As another point, just for a further example (could keep going...) we could look at neutron stars or pulsars as objects that are intrinsically relativistic. We can use observations of millisecond pulsars and, for example, compare models of synchrotron radiation (relativistic) to the observations. We find that the relativistic predictions are again in good agreement. Relativity has led to the development of many astrophysical phenomena which are intrinsically relativistic. Without the framework and foundations of relativity such insight would be impossible. The fundamental concepts introduced by relativity are absolutely essential in many, many branches of modern day science with many of the intrinsic relativistic effects being tested to a vast degree. No one claims that GR is the complete theory, it's treated as an effective field theory valid in some low energy limit, but the revolutionary concepts introduced by relativity have led to irrefutable developments in many areas of science. - 15th August 2010 [User:NotesTH | NotesTH]
"from the muons' point of view, the Earth would have to be rushing in all directions to meet them"?
This would only be true if the muons shared a reference frame. Which they don't. TylerGD 10:25, 11 August 2010 (EDT)
- Good point, so that edit was removed.--Andy Schlafly 21:59, 12 August 2010 (EDT)
Number 29: the fasted-frame contradiction
Clocks tick fastest in their rest frame. This is unique to the particular clock, but not among all clocks. No contradiction exists here. TylerGD 10:29, 11 August 2010 (EDT)
- OK, so that edit was also removed.--Andy Schlafly 21:59, 12 August 2010 (EDT)
Continuation of "Curl of the gravitational field"
Phyllis (and any other interested parties, of course): You might want to take a look at the General theory of relativity page. I think you will be able to follow much of it. In particular, the "Coordinate Systems and Spacetime Diagrams" section is along the lines of what I discussed above. A better name for it might be "how the curvature of spacetime creates gravity". The "Quantitative Introduction to General Relativity" is a link to a separate page, that might be better named "how matter makes spacetime curve. The second of those is pretty daunting. The first was clearly never finished. A finished version seems to be on Wikiversity.
Good luck. Simeon 23:54, 11 August 2010 (EDT)
Reversion of my edit
I changed
Contrary to the claims of Relativists, the GPS system has never been based on Relativity. The Time Service Department, U.S. Navy, observed that "the Global Positioning System (GPS) does not include the rigorous transformations between coordinate systems that Einstein’s general theory of relativity would seem to require" in part because "the effects of relativity, where they are different from the effects predicted by classical mechanics and electromagnetic theory, are too small to matter – less than one centimeter, for users on or near the earth.”
to
Only some, but not all effects of relativity are addressed by the Global Positioning System: not yet incorporated are the effects for fast moving receivers of the signal (e.g., satellites), therefore the Time Service Department, U.S. Navy, observed that "the Global Positioning System (GPS) does not include the rigorous transformations between coordinate systems that Einstein’s general theory of relativity would seem to require" in part because "the effects of relativity, where they are different from the effects predicted by classical mechanics and electromagnetic theory, are too small to matter – less than one centimeter, for users on or near the earth.”
Andrew Schlafly changed it back, ignoring my edit comment: (changing misleading reference - as explained here and here)
The current statement of Andrew Schlafly is wrong in at least two ways, as explained several times:
- the GPS addresses effects of Relativity: From the very beginning, its builders had the Theory of Relativity in mind. [2] and [3]
- the paper quoted above addresses yet another effect.
Perpetuating a wrong statement doesn't seem to be very insightful.
RonLar 11:13, 13 August 2010 (EDT)
- You don't have to beat us over the head with it, Ron. We already knows that perpetuating wrong statements isn't insightful. We agree with that part of your remarks.
- The question is whether relativistic effects are (A) big enough to matter or (B) actually being calculated and compensated for by any major GPS.
- Now, it's interesting that the first builders considered relativity, but what our readers want to know is whether they decided that it made a big enough difference. --Ed Poor Talk 11:52, 13 August 2010 (EDT)
- don't be rude sorry, but please don't mistake my exasperation for rudeness!
- The question is whether relativistic effects are (A) big enough to matter or (B) actually being calculated and compensated for by any major GPS. The answer to (A) as well to (B) is a very emphatic yes. It was given repeatedly and can be found in the source linked above - or in the section of this very talk page to which I linked in my edit-comment (conveniently repeated a couple of lines above, too). But to spare you the work of actually scrolling backwards, here it is again:
- Global Positioning System Standard Positioning Service Signal Specification, 2nd edition, June 1995:
- p. 13: To compensate for relativistic effects, the output frequency of the satellite's frequency standard -- as it would appear to an observer located at the satellite -- is 10.23 MHz offset by a Df/f = -4.4647 x 10-18 or a Df = -4.567 x 10-3 Hz.
- p. 39: The coefficients transmitted in subframe 1 describe the offset apparent to the control segment two-frequency receivers for the interval of time in which the parameters are transmitted. This estimated correction accounts for the deterministic satellite clock error characteristics of bias, drift and aging, as well as for the satellite implementation characteristics of group delay bias and mean differential group delay. Since these coefficients do not include corrections for relativistic effects, the user's equipment must determine the requisite relativistic correction. Accordingly, the offset given below includes a term to perform this function.
- This Global Positioning System Standard Positioning Service Signal Specification is quoted on the talk-page of the article for the GPS, too. It is the relevant document for everyone - engineer of physicist - who wants to work with the signals of the GPS.
- This quote alone shows that the statement Contrary to the claims of Relativists, the GPS system has never been based on Relativity. is wrong. Plain and simple.
- Effects on the GPS became a textbook example for relativity, see e.g., Neil Ashby, who writes in Relativity in the Global Positioning System:
- There is an interesting story about this frequency offset. At the time of launch of the NTS-2 satellite (23 June 1977), which contained the first Cesium atomic clock to be placed in orbit, it was recognized that orbiting clocks would require a relativistic correction, but there was uncertainty as to its magnitude as well as its sign. Indeed, there were some who doubted that relativistic effects were truths that would need to be incorporated! A frequency synthesizer was built into the satellite clock system so that after launch, if in fact the rate of the clock in its final orbit was that predicted by general relativity, then the synthesizer could be turned on, bringing the clock to the coordinate rate necessary for operation. After the Cesium clock was turned on in NTS-2, it was operated for about 20 days to measure its clock rate before turning on the synthesizer. The frequency measured during that interval was +442.5 parts in 1012 compared to clocks on the ground, while general relativity predicted +446.5 parts in 1012. The difference was well within the accuracy capabilities of the orbiting clock. This then gave about a 1% verification of the combined second-order Doppler and gravitational frequency shift effects for a clock at 4.2 earth radii.
- But you don't have to take this secondary source at face value, you can go to the primary source: Initial Results of the NAVSTAR GPS NTS-2 Satellite, Naval Research Lab Washington, D.C., 25 May 1978 (Full text: pdf). Ever since 1978, relativistic effects are observed and compensated in various ways. Or as the abstract states it:
- NTS-2 was successfully launched on 23 June 1977 into a near 12-hour circular orbit. Precise frequency and timing signals are derived from the two cesium frequency standards. This paper discusses the launch and preliminary results which include verification of the relativistic clock effect.
- PhyllisS introduced the following quote above:
- The Time Service Department – a department of the U. S. Navy - states: “The Operational Control System (OCS) of the Global Positioning System (GPS) does not include the rigorous transformations between coordinate systems that Einstein’s general theory of relativity would seem to require – transformations to and from the individual space vehicles (SVs), the Monitor Stations (MSs), and the users on the surface of the rotating earth, and the geocentric Earth Centered Inertial System (ECI) in which the SV orbits are calculated. There is a very good reason for the omission: the effects of relativity, where they are different from the effects predicted by classical mechanics and electromagnetic theory, are too small to matter – less than one centimeter, for users on or near the earth.”
- This is taken from a text of Henry F. Fliegel and Raymond S. DiEspostifrom December 1996 who are talking about another relativistic effect than the ones already implemented. Please keep in mind that the Specification above is from June 1995! Only someone who didn't read the text - or didn't understand it - could abuse this quote to invoke the impression that no effects of relativity were implemented in the GPS.
- Of course, the information above may be ignored - as it was previously: tl;dr. But actively ignoring facts which contravene a statement just to repeat the statement is a behavior which can only be described in a rude way.
RonLar 09:34, 14 August 2010 (EDT)
- Ron, the collection of statements above could be construed as easily as disproving relativity rather than proving it. Decades after GPS was launched, observers still struggle to match the data to the theoretical predictions. If some relativistic calculations are included in the synchronization but others are not, then the theory is disproved, not proved by the data.
- As the Theory of Relativity page itself explains, the engineers ignored the complex predictions of relativity. And for obvious reasons: it's easier to synchronize the clocks directly based on communications!
- Note the complete absence of any identification of a particular physicist or mathematician who supposedly provided the theoretical predictions of Relativity for the engineers. That is because there were no such theoretical predictions of Relativity used in the design!
- You might as well claim that clocks in a sporting game are synchronized based on relativity. That would lack credibility for the same reason.--Andy Schlafly 10:28, 14 August 2010 (EDT)
- Ron, the collection of statements above could be construed as easily as disproving relativity rather than proving it. Decades after GPS was launched, observers still struggle to match the data to the theoretical predictions. If some relativistic calculations are included in the synchronization but others are not, then the theory is disproved, not proved by the data. Effects come in various sizes. When calculating the trajectory of the projectile of a handgun, you don't include the Coriolis effect. When the bullets get faster and the range gets bigger, you have to. Does this mean that because only some classical effects are included in the first case, it has disproved classical mechanics? Frankly, that's just absurd.
- As the Theory of Relativity page itself explains, the engineers ignored the complex predictions of relativity. And for obvious reasons: it's easier to synchronize the clocks directly based on communications! At the article of the Theory of Relativity, a quote is used to bolster this claim: the same quote I've shown to be inappropriate as it is talking about other effects. From Ashby's Relativity in the Global Positioning System : It has become common practice not to apply such offsets to Rubidium clocks as these are subject to unpredictable frequency jumps during launch. Instead, after such clocks are placed in orbit their frequencies are measured and the actual frequency corrections needed are incorporated in the clock correction polynomial that accompanies the navigation message. So, yes, the clocks aren't tempered with any longer - but the relativistic correction are incorporated nontheless.
- Note the complete absence of any identification of a particular physicist or mathematician who supposedly provided the theoretical predictions of Relativity for the engineers. That is because there were no such theoretical predictions of Relativity used in the design! No, that's because the any decent physicists can answer the questions what's the expected relative and gravitationl time dilation at the satellite. Einstein, Poincare and some others get the credit for coming up with the necessary formulas, but those who merely apply these formulas aren't mentioned...
- You might as well claim that clocks in a sporting game are synchronized based on relativity. That would lack credibility for the same reason. The clocks of a sporting game aren't accurate enough to be influenced by non-classical effects. The clocks of the GPS are - and the effects are much greater in the height and at that velocity of a satellite.
- Sorry to keep you waiting for this answer: my ISP at home (109.90.0.0/16) is still range-blocked (block ID is #63109), so I can contribute to Conservapedia only irregularly. But I don't think that this bothers you, as you may not like my comments anyhow.
- RonLar 09:26, 15 August 2010 (EDT)
- Ron, your edits are mostly talk, and the talk is superficial. I pointed out that no individual has ever been credited, identified or even alluded to for providing the Relativity work that was supposedly included in the GPS design. Obviously that was because there was no such inclusion of Relativity work. But you just duck that compelling point and fail to address it in a meaningful way.
- The argument that GPS includes some (but not all) relativistic adjustments is even weaker, because that implies that GPS disproves rather than proves Relativity.--Andy Schlafly 16:36, 15 August 2010 (EDT)
- I agree with RonLar. The GPS clocks are accurate enough for relativity to matter. It is well-known that the system uses relativistic corrections. Otherwise, it would disprove relativity, and where is the paper proving that? RSchlafly 21:17, 15 August 2010 (EDT)
- Journals won't publish any data contrary to Relativity; accepted papers have even been forced to withdraw for this reason. For example, where are the data on the advance of the perihelion of Mercury (which now disproves Relativity) or the binary pulsar (which now disproves Relativity despite the Nobel Prize being given for it years ago).
- The claim that GPS system "uses relativistic corrections" is meaningless. If some but not all relativistic corrections are used, as discussed above, then this disproves rather than proves Relativity.--Andy Schlafly 21:46, 15 August 2010 (EDT)
- If the GPS system uses some but not all relativistic corrections, the article is faulty and should be corrected. I don't know about that astronomical data, but if you have some reliable source saying that it was censored somehow, then I suggest posting it. RSchlafly 22:48, 15 August 2010 (EDT)
- If you think Relativity was part of the GPS design, then who did the Relativity calculations? Who was responsible for that work? Not only has no one been credited or identified for doing this work, there is not even any suggestion that anyone did such work.--Andy Schlafly 22:59, 15 August 2010 (EDT)
- Beats me, I thought GPS was a classified military project. Who did the Newtonian calculations? RSchlafly 03:36, 16 August 2010 (EDT)
- I pointed out that no individual has ever been credited, identified or even alluded to for providing the Relativity work that was supposedly included in the GPS design. R. Schlafly answered this one very well. May I add that we don't know who actually calculated the trajectories for the Apollo project. Does this mean that the Moon landing was a hoax? That's absurd.
- If some but not all relativistic corrections are used, as discussed above, then this disproves rather than proves Relativity. Again, does the omission of the Coriolis effects - or even tidal forces - when calculating the trajectory of a bullet disprove classical mechanics? Effects come in various degrees, more about that in the next section.
- Ron, your edits are mostly talk, and the talk is superficial. I wouldn't have to do so much talking if you actually read the papers you are quoting from. Even someone who thinks that he can formulate Einstein's postulates better than Wolfgang Pauli did (I have explained why Pauli's description is inadequate) should sometimes stop and listen to those who at least recomputed the relevant calculations.
- RonLar 08:41, 16 August 2010 (EDT)
- GPS was declassified nearly 30 years ago. It's well-publicized who did the work on the Manhattan Project, but are you claiming that no one knows who supposedly did the Relativity work on GPS because it is top secret???? Please.
- RonLar, your comments lack logic and suggest to me a lack of an open mind about this topic, and I'm not going to spend forever in talk, talk, talk with you about this. May I ask what your score is on the quiz on Essay:Quantifying Openmindedness?--Andy Schlafly 11:09, 16 August 2010 (EDT)
- Though I don't know what this has to do with the subject at hand, here are my answers
Question Answer Do you resist admitting the possibility that a conservative approach to education is far more effective for students than a liberal one? No. If it were proved to your satisfaction that some idea you've been using to bolster a political argument was false, would you keep using that idea in your argument? If it is proved to my satisfaction, no, I wouldn't. Do you resist admitting that something you accepted for over a decade is, in fact, completely false? I wouldn't like to admit it - is this resistance? But of course, I would admit it. Do you resist the possibility that Hollywood values result in significant harm for those who believe in them, and to innocent bystanders? Resist the possibility? How could one? Do you think it is impossible that increased gun ownership reduces the rate of crime? Impossible? No. Unlikely? Yes. When President Ronald Reagan told Mr. Gorbachev to tear down the Berlin Wall, did you think that it was impossible for the Berlin Wall to be torn down? Impossible? No. But the speed was surprising! Did you think, or still think, that the Strategic Defense Initiative ("Star Wars") is impossible? Impossible? No. Hard to realise? Yes. Do you think that it is impossible that the Shroud of Turin is authentic? Impossible? No. Very unlikely? Yes. Do you think that there must be a purely material-based explanation (such as magnetism) for remarkable homing and migration behavior of birds and butterflies? A purely material-based explanation as opposed to what? Angels hinting the way? So, yes. Do you think that it is impossible for the speed of light to have been different in the past? Impossible? No. Very improbable? Yes. Do you think that it is impossible to measure openmindedness? Impossible? No. With this test? Yes. Do you think that evolution must have occurred? Must have occurred? No. Has most probably occurred? Yes. Do you think that is impossible for the power of 2 in Newtonian gravity, whereby the gravitational force is proportional to 1/r2, to be more precise with an exponent that is slightly different from 2, such as a gravitational force proportional to 1/r2.00000001? Impossible? No. Aesthetically unsatisfying? Yes. Do you resist admitting that some things taught to you in school are completely false, and even known to be false by some responsible for the material? No. There were errors, and there were (over-)simplifications Do you deny that some widely required theories of science may actually impede the progress of science? Generally: Yes, Locally: No. Do you deny that the imposition of socialism and same-sex marriage on a nation could harm its competitiveness at international events like the Olympics? Yes - think of synchronised diving and swimming! Do you refuse to consider the possibility that "experts" may not have all the answers, and that the best of the public may have valuable insights to which experts are blind? Generally, the best of the public are called experts, so yes and no. Do you think that if you read parts of the Bible years ago as a child, you can claim to "have read the Bible" and that you have no reason to read it regularly now? If you read only parts, you didn't read the Bible. Is there a necessity to read it regularly? No. Do you think that it is impossible for an oppressing society (like Communism or theocracy) to become a democracy?
No. Do you believe that because the Earth's orbit and rotation are what they are now, they are guaranteed to remain stable for billions of years? No.
- Looking at the subject of the questions - and at your convictions as stated here on Conservapedia, this quiz seems to measure the possibility to agree with you in any point. That isn't necessarily the same as being open-minded...
- So, I have answered your questions. Could you now answer the following ones? You can regard it as my version of a test of open-mindedness - it shows that you are willing to climb on the shoulders of the giants (to use Newton's picture)
- Who did the Newtonian calculations for the GPS? Please cite a source.
- In the official Specification of the GPS we read:
- p. 13: To compensate for relativistic effects, the output frequency of the satellite's frequency standard -- as it would appear to an observer located at the satellite -- is 10.23 MHz offset by a Df/f = -4.4647 x 10-18 or a Df = -4.567 x 10-3 Hz.
- p. 39: The coefficients transmitted in subframe 1 describe the offset apparent to the control segment two-frequency receivers for the interval of time in which the parameters are transmitted. This estimated correction accounts for the deterministic satellite clock error characteristics of bias, drift and aging, as well as for the satellite implementation characteristics of group delay bias and mean differential group delay. Since these coefficients do not include corrections for relativistic effects, the user's equipment must determine the requisite relativistic correction. Accordingly, the offset given below includes a term to perform this function.
- How can you reconcile this with your view that GPS is a work of engineering and any timing discrepancies between the satellite and ground are obviously better handled directly by synchronization rather than asking a physicist what he thinks of relativity. Please elaborate.
- Have a look at the paper Initial Results of the Navstar GPS NTS-2 Satellite by James A. Buisson, Roger L. Easton, Thomas B. McCaskill of tje U.S. Naval Research Laboratory (NRL) Washington, D.C. This is the primary source for results of the first GPS mission. The abstract states
- NTS-2 was successfully launched on 23 June 1977 into a near 12-hour circular orbit. Precise frequency and timing signals are derived from the two cesium frequency standards. This paper discusses the launch and preliminary results which include verification of the relativistic clock effect.
- How do you reconcile this with your statements that GPS satellite clocks were not built based on predictions made by the theory of relativity or that GPS never used the theory of relativity - when the very first clocks for the GPS were not only used to verify the effect, but after the initial phase to conduct such experiments were offset according to the predictions made by the theory of relativity? Please elaborate.
- Thanks, RonLar 09:25, 17 August 2010 (EDT)
- please, reconsider the block of my ISP at home (block ID #63109, intended blockee: 109.90.0.0/16)
My goodness! Andy and RonLar are still debating the GPS issue? You two clearly enjoy debating each other, and I enjoy reading what you have to say.
As far as the questions above "who did the Relativity calculations?" and "who did the Newtonian calculations?" for GPS, I don't think it's important for the person doing the relativity calculations to have published his work or otherwise made himself known. The fundamental formulas for the GR time dilation effect under discussion are known to nearly all physics graduate students. This isn't to say that GR isn't very complicated, but the number of people who understand it is now way more than 3. The equation for the relative incremental time dilation/contraction is
per meter of distance "uphill" or "downhill" in the gravitational field, where
is the strength of the field. (Since the field is conservative, this distance uphill or downhill is independent of the path; it's just a property of the locations of the two observers.) Now the rest of the derivation is straightforward. I'll take you through it. In the vicinity of the Earth, we have
so the dilation is
Because the satellites are so high, we have to take into account the change in strength between the receiver and the transmitter, so we have to do an integration:
where
and
are the radii at the receiving point (6.4E6 meters) and the satellite (20E6 meters). We have G (Newton's constant) equals 6.7E-12, and M (Earth's mass) equals 6E24.
The integral is
Plugging in the numbers, we get .477E-9, which is about 45 microseconds per day. The special relativity correction due to the speed of motion is about 7 microseconds per day in the opposite direction. The total is about 38 microseconds per day, which is compensated for by adjusting the clock rates. Without this, the ability of GPS devices to show position would drift by about 10 kilometers per day, which would make them useless.
The correctness of these equations is independent of whether the people running the system have gone through the derivation, just as the correctness of Maxwell's equations is independent of whether people using electric motors understand those equations. Scientific theories are not correct or incorrect depending on whether specific people understand them, or the thought processes that went into the design of any particular device.
A final note to Andy: Since you and RonLar are clearly enjoying this debate, and clearly consider each other to be worthy adversaries, I'd suggest that you unblock RonLar's IP address, if indeed it is still blocked. It's the honorable and gentlemanly thing to do. Simeon 10:52, 19 August 2010 (EDT)
Problems with Peer Review
(unindent) Andy and Roger, I appreciate both of your viewpoints, and I'd like to sidetrack this discussion to an important point about peer review and "refereed" journals. It is often argued that since idea X has no papers supporting it, to be found in scientific journals, it therefore is "unscientific", i.e., false (see pseudoscience). However, we are aware of a significant number of ideas which we know to be true (or at least likely), but which mainstream journals have refused to publish.
- Ideas on global warming which run counter to the AGW hypothesis, such as sunspots and cosmic rays affecting cloud formation: several researchers have published reports showing a much stronger correlation between the sunspot cycle and earth atmosphere temperature than that between the carbon dioxide level and temperature, but Science spiked the most important such paper on the grounds that it would be "of no interest" to their readers!
- Intelligent design: The last time a journal editor managed to get an ID paper through peer review, he was forced to resign. The refrain, "No peer reviewed papers on ID" is the strongest (non-scientific) argument against ID, but it's based on circular reasoning.
Perhaps we need an article on Scientific censorship. --Ed Poor Talk 13:12, 16 August 2010 (EDT)
Quote mine
Andy, you take the sentence The Time Service Department, U.S. Navy, observed that "the Global Positioning System (GPS) does not include the rigorous transformations between coordinate systems that Einstein’s general theory of relativity would seem to require" in part because "the effects of relativity, where they are different from the effects predicted by classical mechanics and electromagnetic theory, are too small to matter – less than one centimeter, for users on or near the earth.” as a corroboration of you statement Contrary to the claims of Relativists, the GPS system has never been based on Relativity.
Even if the sentence stood alone, that would be hardly justifiable: the effect of relativity [...] are too small to matter [...] for users on or near the earth shows what the authors intention is: they show that the effects of relativity for users in a distance from the Earth's surface (satellites etc.) and at high speed do matter. If you read the article the sentence is taken from (GPS and Relativity: An Engineering Overview by Henry F. Fliegel and Raymond S. DiEsposti), you'll find on p. 193:
- Since GPs receivers work in the time and not in the frequency domain, they handle the velocity, gravity, and acceleration shifts differently than described above. First, each GPS space vehicle (SV) clock is offset from its nominal rate by about -4.45×10-10 (= -38 microseconds per day) to allow for the relativistic offsets between the differences between the SV and the ground. Of this -38 microseconds per day, about -45 are due to the gravitational potential difference between the SV at its mean distance and the earth's surface, and +7 to the mean SV speed, which is about 3.87 km/sec.
So, the authors of this text are well aware of the relativistic effects on the GPS space vehicles. And these effects are big enough to justify a compensation. So what are the effects of relativity, where they are different from the effects predicted by classical mechanics and electromagnetic theory, are too small to matter? To repeat it again, these are the additional effects on the receivers of the signal, which may be in higher altitude and moving on a higher speed than it was anticipated in the 1970s.
Including such effects make the GPS more precise, it doesn't disprove the theory of relativity.
You could have guessed as much from the abstract of the article:
- We give and explain in detail the formulas for the relativistic corrections to be implemented in high-speed aircraft, or when using other satellites in connection with GPS, or when using GPS from another satellite. We explain how to use these formulas in various scenarios, give numerical examples, and itemize the pitfall to be avoided by (for example) receiver manufacturers.
It's an amusing twist that the intended audience for this articles are engineers - people who have no need for the theory of relativity as you have repeatedly made clear.
So, the sentence you took of the article only seemingly bolstered your position, in fact, when read in context, it disproves your opinion. That is an example for a quote mine.
I hope that this comment - and my previous ones - which are not superficial at all, but go straight to the source, convince you to unblock my ISP at home (block ID #63109, intended blockee: 109.90.0.0/16). and to give me the possibility to engage in a meaningful discussion.
RonLar 08:41, 16 August 2010 (EDT)
My Great-grandfather
This is where I came in ... Charles Lane Poor was my great-grandfather, and he protested the media love-fest celebrating the theory of relativity on the grounds that it was premature. Based on the accuracy of observations at the time (early 20th century), there just wasn't enough proof that Einstein's idea was correct.
I'd like this article to take the scientific path of (1) explaining the theory in layman's terms, (2) describing predictions that the theory makes, e.g., observed star positions during a solar eclipse, and (3) comparing predicted to actual values. --Ed Poor Talk 11:45, 13 August 2010 (EDT)
- That's very interesting about your great-grandfather, Ed. As to explaining the theory and discussing claims supporting it, other entries like Theory of Relativity do that but can always be improved.--Andy Schlafly 10:30, 14 August 2010 (EDT)
Countering the counterexamples
The content of this page aside, I question whether it serves the interests of CP for it to exist in its current form. CP has been lucky to attract a long string of competent math and physics editors. Yet once again it finds itself in the position of not having any except ASchlafly and Ed Poor. Many of these editors were good-faith contributors who wrote a lot of other science articles and generally improved the site, but were eventually driven out after becoming frustrated with this opposition to relativity (and its cousin, the pervasive skepticism about complex numbers).
- Actually, it was their refusal to write articles on basic topics accessible to our average reader's background that sealed their doom. While Andy is much more tolerant of "advanced" articles on math, etc., I prefer that each article at least begin with an introduction that even a high school student can understand.
- I even started to suspect that this refusal went beyond mere inability to empathize with our readership, but could be a deliberate flouting of editorial policy.
- Bottom line: it's not the topic, but how it's described. No science topic is out of bounds here. --Ed Poor Talk 13:00, 16 August 2010 (EDT)
Yes, maybe free speech dictates that this page ought to remain. But when the viewpoints of supporters of relativity have been without exception removed from the page, is there really free speech at all? ASchlafly, you remove these views on the grounds that they are not logical. But their proponents hold them surely as you hold your position, so would it not be reasonable to allow the other side to be posted somewhere, maybe on another page rebutting this one?
Disbelieving the theory of relativity is really not a conservative position as such, so I think it's a shame that it has caused CP so much harm. Indeed, the only person who seems to be convinced by these "counterexamples" is ASchlafly: the public (liberal and conservative) constantly disputes them on the talk page; the media openly mocks this page and hurts the public perception of CP's credibility; even some CP administrators, surely open-minded conservatives, disagree with these positions. (Maybe some editors have expressed agreement. Such are certainly parodists and should be banned on sight.)
I think it would be advisable to allow some pro-relativity views back on this site, in the interest of free speech, keeping productive editors, and maintaining credibility. --KyleT 11:54, 16 August 2010 (EDT)
- Kyle, your rant is misplaced and does not warrant a detailed response. If you would like to set up a new entry along the lines of what you propose, please do so. It can go point-by-point in trying to rebut the counterexamples. Good luck doing so, because each counterexample has withstood every attempt to criticize it.--Andy Schlafly 11:58, 16 August 2010 (EDT)
Despite my oppositions to the arguments contained on this page, science is about progress through repeatable experimentation. If a theory is found to be incompatible to experimental data, then it is editted or thrown out. A great many papers published on relativity (see websites such as NASA's ADS for peer reviewed papers) contain a great many references to other authors that have aided the writers in their work. These references are peer reviewed and in turn built on the foundations of many older peer reviewed references.
The references that are presently used in the 'Counterexamples to Relativity' page are of dubious origin.
1. Is not a reference, as it does not contain 1) The author, title, ISBN number, print edition, print date, publisher, and page number where the quote about how relativity misleads the public is contained. It can be corrected if you input these important bits of information, so that people can follow your reasoning.
2. Whilst this is arguably a reference, the website does not contain data as to when it was originally accessed, which may bring into question if the page has been edited by some outsider since your use as a reference. There is also and more importantly the question of MSNs reliability as a reference. As it is not a peer reviewed article, it is written by a non-scientist, with no references to papers written BY NASA scientists on the occurrence claimed within, it is highly unreliable. It would be more precise to actually reference a peer-reviewed paper, or report by an acclaimed institute, which specialise in the sciences explaining or even mentioning the anomalies.
3. Reference 3 is not a reference, as it does not actually refer to a specific source of data. There is no reference to percentages of physics majors that cannot replicate relativity equations. The data quoted is also unreferenced, and should in any case be contained in the body of the article, and not in the references. Finally when mentioning Professor Clifford Will, it is again unreferenced about his 'omitted this in listing tests confirming relativity.' Please reference this quotation by finding it in his articles, and reference it.
4. Reference 4 is not a reference at all, as it is a statement of opinion. I would also point out that you say 'If space were curved, one would never expect the universe as a whole to be almost precisely flat. Yet it is.' But as you can see using the term 'almost precisely flat' you are actually saying that there is a partial curvature in space-time, as the universe would have to be precisely flat, and not almost precisely flat. Again reference peer reviewed papers on the curvature of space-time and perhaps the explanations of the so called 'flatness problem in cosmology' and perhaps look at 'solutions to the flatness problem'.
5. Again this reference does not contain any information as to where you are getting your claims. Perhaps referencing papers from a peer reviewed paper about quantum entanglement, involving the author, title, Journal title or ISBN number, print edition, print date, publisher, and page number.
6. This link actually sends the user to another conservapedia page, and upon inspection then reveals the reference to this page as a BBC website article. Whilst I am a strong fan of the BBC, again as my issue with reference number 2, the data accessed has not been input, and the BBC is also a dubious source for referencing. Please use peer reviewed papers as sites such as BBC/MSN are 'popular' science ie do not explain the actually cause of certain anomalies, and please follow reference guidelines.
7. Again New Scientist is not a peer-reviewed paper and is not a reliable reference source. Whilst the paper goes into more detail that your average website article, it is still written in laymen’s terms, and often actually avoids the mathematical details that are unbendable by opinion. It would be more correct to reference the paper that the scientists within have published on their findings, rather than relying on the NS's analysis of it.
8. Again for reference 7.
9. Excellent! An actual peer reviewed paper in here! However when citing papers, it is more correct to cite the author, title, Journal title or ISBN number, print edition, print date, publisher, and page number rather than the website that the data is taken from.
10. Again this is not referenced. It would be correct to reference Professor Stephen Hawking’s papers on black hole entropy. I believe that there may be some in NASA's that you can find and reference following conventions.
11. This is again not referenced as it does not contain any link to the press release, or papers written by the The Time Service Department, U.S. Navy refuting the claims by scientists that GPS does not rely on relativity. Doing so would be useful to disprove relativity.
12. Reference 12 links back to reference 1, which for some reason starts out scientific, but then the reference it is linked to be reference 1, which at no point actually explains, or even mentions the tensor-stress-energy that is present in relativity. Again using a corrected reference 1 would be more correct than having a reference 12. It would also more good to mention that the scientific part of reference 12 should also be contained in the body of the text, and a reference for the science, such as Einstein's papers should be referenced for the mathematical cases to be seen as correct.
13. Reference 13 is a statement and not a reference. It should be moved into the main body of the text and referenced itself, by citing a peer-reviewed paper.
14. Nature magazine is a reputable peer reviewed source, but as reference no 9, it should be referenced by the author, title, Journal title or ISBN number, print edition, print date, publisher, and page number rather than the website that the data is taken from.
15. Again this is not referenced correctly, as it does not say who the author is, etc. It would actually be honest to point out that in no case in physics, engineering, biology, chemistry, can equations be shone to be perfectly correct, but more often as moderately to highly accurate models, depending on the situation.
Editing the above errors in referencing will make the page more professional. Vancouver or Harvard referencing are used world wide, and there is no excuse to reference incorrectly. Doing so cheapens the image of the author, and is often than not an insult to the reader.
Hope this has been helpful. Regards, ARogers
A reminder
We are all scientists here: we all seek the truth.
"When people thought the earth was flat, they were wrong. When people thought the earth was spherical, they were wrong. But if you think that thinking the earth is spherical is just as wrong as thinking the earth is flat, then your view is wronger than both of them put together."
-- Isaac Asimov
Freiberg 15:42, 16 August 2010 (EDT)
- That's misleading. Hardly anyone ever thought the earth was flat, at least not since Western Civilization began. And the earth is so near to a perfect sphere that a globe (atlas) needs no "polar flattening".
- Don't try to make subtle points: come out and say whatever it is you were trying to say. --Ed Poor Talk 22:58, 18 August 2010 (EDT)
Pioneer anomoly
The first counterexample, "The Pioneer anomaly", doesn't actually satisfy the list's purpose as stated by "Here is a list of 29 counterexamples: any one of them shows that the theory is incorrect."
Under Pioneer_anomaly#Explanations there's a list of potential explanations for the anomaly, and while "The theory of General Relativity and the Law of Universal Gravitation could be wrong" is on that list so are drag forces and the presence of unknown celestial bodies. In other words, the anomaly itself could still exist even if general relativity is 100% accurate.
Maybe "shows" should be changed to "suggests"? Stoob
- All of the other items also have explanations that do not contradict relativity. RSchlafly 13:28, 18 August 2010 (EDT)
- I have to agree wholeheartedly - and I can see that you are trying for quite a while to get rid of these distortions, at Counterexamples to Relativity and Theory of Relativity. I liked your comment:
All of those statements are completely false. Relativity has no physical discontinuities, logic contradictions, or contradictions from evidence. Relativity promoters are no more liberal than those who promote quantum mechanics, superconductivity, or any other aspect of physics. RSchlafly 10:30, 24 November 2009 (EST)
- But seeing how long this is going on, my hopes for any improvements are vanishing... RonLar 08:23, 19 August 2010 (EDT)
If Biblical quotes are allowed...
Since we are allowing quotes from the Bible to undermine Relativity, can I also use quotes from the Quran in the "Counterexamples to the Bible" section? Seems only fair.
- Are you saying all books are created equal, Pete?--Andy Schlafly 22:49, 17 August 2010 (EDT)
- That is precisely what I am saying. For example, it seems to me that the page "Christian apologetics" could, with a few alterations, be renamed "Islamic apologetics". Pete 17 August 2010 (EDT)
- Sorry, Pete, but truth is not relative on this site.--Andy Schlafly 00:04, 18 August 2010 (EDT)
- I agree, truth is not relative, neither here nor anywhere. However, it seems to me, but the laws of logic, that exactly one of the following statements must be true -
- 1. The Bible is true
- 2. The Qu'ran is true
- 3. Neither are true
- You are assuming #1 to falsify #2 and #3. Then why can't I assume #2 to falsify #1 and #3. That seems perfectly in line with what you are doing. Paul 18:07, 18 August 2010 (EDT)
- No, Pete, you have come here assuming the Bible is false, and you're pushing your religious beliefs here. I think you better give it up. Karajou 18:10, 18 August 2010 (EDT)
What religion am I adhering to? And is it irrational because it is supported by hundreds of years of scientific scrutiny?
- Belief or non-belief in God is a religious belief. And which scientists are irrational? Do they include the thousands of PHd's who believe in God? Karajou 18:37, 18 August 2010 (EDT)
- Non-belief is a religion the same way that bald is a hair color. You disregard a million gods; I disregard a million plus one, and I'm irrational? Out of those thousands of PhD holder's, how many have written papers presenting testable evidence of God? The difference between my non-belief and your belief is that my non-belief is not actively trying to undo scientific advancement; my non-belief has never raised millions of dollars to pass laws that tell two loving adults that they are not as good as their heterosexual counterparts; my non-belief has never caused my young son to come home in tears because he was told that he was destined to spend an eternity being tortured because "Your daddy doesn't go to church"; my non-belief ruler (if it had one) has never refrained from intervening in the molestation of a child despite being perfectly capable of doing so.
- I am sitting now, alone in my study, and there is a quarter on my desk. If this quarter were to flip from heads to tails by itself, I would instantly become a convert to Christianity. As of yet, the quarter has not moved. Either there is no god, or he does not care about saving me enough to give me even the slightest bit of evidence. Now, absence of proof does not proof there is no god; however, the silence has been awful hard to ignore. Paul 18:54, 18 August 2010 (EDT)
- I don't expect you to change in an instant if that quarter flips by itself, but here you are, in our site, knowing we are Christian, and you are willfully and deliberately pushing your non-beliefs here. A wolf amongst the sheep.
- And there is a God, and He does care enough about you to send His Son; the evidence for it is historical and documented. Whether or not you choose to accept Him is up to you, but I don't think He's going to give into a demand for a test just because you feel like it. Karajou 19:01, 18 August 2010 (EDT)
- Paul, atheists don't build hospitals, don't have championship teams, and don't give much to charity. Atheism is a self-centered ideology that leads individuals and societies to self-destructive rather than selfless conduct. Even your quarter example is self-centered. Atheists are also censors of classroom prayer, even when everyone in the classroom wants to pray.
- There's no free lunch. Selfish ideologies aren't getting away with anything. Over time, the objective individual wakes up to where the road of atheism takes him, and he finds another road.--Andy Schlafly 19:08, 18 August 2010 (EDT)
- Aren't Warren Buffet and Bill Gates atheists? They've donated billions to charity, I think more than a third of everything they earned during their lifetimes. Definitely no championship teams though... Stoob
- Gates' wife is a devout Catholic, I think, and together they've given money to a foundation they control. I'm not aware of their building any hospitals. Ditto for Buffet. Moreover, their wealth is just a drop in the bucket of the overall wealth of atheists, very little of which goes to atheists.
- What's another name for a self-centered, uncharitable person who censors classroom prayer? An atheist.--Andy Schlafly 21:35, 18 August 2010 (EDT)
- Andy, there are atheists doing charitable work. The relatively small work being done is easily attributable to atheists being cast out from society for millenia, and only recently gathering ground and forging a community. See [4] [5] [6] [7] [8]. There are many others, and the number and size of these organizations continues to grow. You may want to believe that atheists lack charity, but the world simply must disagree with you. AAckermann 11:03, 19 August 2010 (EDT)
- The world disagrees with you in one respect, AAckermann. Since 1963 when a loud-mouth atheist named Madalyn Murray O'Hair used her hate to remove prayer from public schools, we have had consistent and constant attacks by atheists and like-minded individuals against Christians through legislation, speeches, books and other published material, film and television, as well as personal threats, intimidation, and violence. That is mainstream atheism in action here, and I would hardly call that "charitable." Karajou 11:13, 19 August 2010 (EDT)
- Prayer is still permitted in schools; Any child can, at their choosing, pray as they feel. All that has changed is the school must not direct it. Just as I'm sure you wouldn't want your children forced to pray for Allah, we must not force children to pray for God, or any other deities. AAckermann 11:31, 19 August 2010 (EDT)
- And you're wrong once again. A kid begins a prayer, an atheistic parent gets mad and sues the school district with the help of the ACLU; that fact alone is in the newspapers in some part of the country at least once a week. We're not going to make atheism look good here, AAckermann, not just because doing so is against the site's policies, but because doing so is an impossibility. Karajou 11:38, 19 August 2010 (EDT)
- Please cite any case where that happened. The ACLU defends human rights, not anti-Christian concepts. AAckermann 11:43, 19 August 2010 (EDT)
- You know full-well what I'm talking about, AAckermann; you've seen the citations and the news about the subject too many times yourself. Karajou 11:49, 19 August 2010 (EDT)
- In answer to the above troll's "request" for a cite backing up what I said about prayer and the ACLU's attempts to stop it, how about 22,000 of them: [9]. If the ACLU was so bent up about defending human rights, they would be defending the rights of anyone to engage in prayer anytime, anywhere, as per the First Amendment. Karajou 12:01, 19 August 2010 (EDT)
- You know full-well what I'm talking about, AAckermann; you've seen the citations and the news about the subject too many times yourself. Karajou 11:49, 19 August 2010 (EDT)
- Please cite any case where that happened. The ACLU defends human rights, not anti-Christian concepts. AAckermann 11:43, 19 August 2010 (EDT)
- And you're wrong once again. A kid begins a prayer, an atheistic parent gets mad and sues the school district with the help of the ACLU; that fact alone is in the newspapers in some part of the country at least once a week. We're not going to make atheism look good here, AAckermann, not just because doing so is against the site's policies, but because doing so is an impossibility. Karajou 11:38, 19 August 2010 (EDT)
- Prayer is still permitted in schools; Any child can, at their choosing, pray as they feel. All that has changed is the school must not direct it. Just as I'm sure you wouldn't want your children forced to pray for Allah, we must not force children to pray for God, or any other deities. AAckermann 11:31, 19 August 2010 (EDT)
- The world disagrees with you in one respect, AAckermann. Since 1963 when a loud-mouth atheist named Madalyn Murray O'Hair used her hate to remove prayer from public schools, we have had consistent and constant attacks by atheists and like-minded individuals against Christians through legislation, speeches, books and other published material, film and television, as well as personal threats, intimidation, and violence. That is mainstream atheism in action here, and I would hardly call that "charitable." Karajou 11:13, 19 August 2010 (EDT)
- Andy, there are atheists doing charitable work. The relatively small work being done is easily attributable to atheists being cast out from society for millenia, and only recently gathering ground and forging a community. See [4] [5] [6] [7] [8]. There are many others, and the number and size of these organizations continues to grow. You may want to believe that atheists lack charity, but the world simply must disagree with you. AAckermann 11:03, 19 August 2010 (EDT)
- Karajou, I'm not sure a list of google results is an accepted citation...however, playing along, I looked at the first result. It was about how a school was required to take down a banner that asked "Our Heavenly Father" to watch over them. Are you saying, Karajou, that if a school hung a banner that said "Praise be to Allah", you'd be fine with that? Side note, in your "citation", I noticed, a couple down, that the ACLU also sued a Twin Cities school for promoting Islam. Are you outraged about that?
- AAckermann, I've noticed from posting here for a while, that any time you request proof or a citation, you get responses in line with "You know full-well what I'm talking about" and little else.
- PS Karajou, I have a "citation" for you: http://www.google.com/#hl=en&q=andy+schlafly+hates+kittens&aq=f&aqi=&aql=&oq=&gs_rfai=&fp=634be7f9c98ae18c
- Mine has 27,000 results. More true, then, yes? (Mr. Schlafly, I mean no disrespect with that link. I was just using it as an illustration. I'm sure you love kittens as everyone does :) Paul 14:19, 19 August 2010 (EDT)
(unindent) A lot of what Ackermann was talking about is unrelated to the purpose of this page, which is to help contributors improve the article ... not to debate school prayer. Maybe we can cut and paste samo of the above to one of our Conservapedia:Debate topics. --Ed Poor Talk 13:30, 20 August 2010 (EDT)
Black Holes are High Entropy
Point 16 states that black holes are highly ordered, thus possess low entropy. However, black hole entropy is understood to increase as expected by the 2nd Law of Thermodynamics: [10]. The citation refuting a similar proposition by Stephen Hawking is also not a citation, but an assertion by some individual. It would be more effective to cite peer-reviewed research showing black holes do not possess entropy through these mechanisms. AAckermann 14:47, 18 August 2010 (EDT)
Searchlight Paradox
Number 30 is a misunderstanding of relativity. The essence of the argument is that the "spotlight (that is, where the light ends)" will move faster than the speed of light, moving from point A to point B faster than the speed of light. However, the inaccuracy in this thinking is that the light at point A and point B are not the same - point A and point B share no common photons.
Think of it like a water hose. You are spraying water onto the lawn. Then you turn around, 180 degrees, and spray on the street. Did the water on the lawn move to the street? No, they are two different sets of water.
Also, there is no violation in the transmission of information, because point A and point B are not communicating with each other - the searchlight is communicating with point A, and THEN with point B.
I await the removal of this counterexample. Paul 18:07, 18 August 2010 (EDT)
- I agree with this general sentiment. There is a mistake in reasoning in the article that even if we suppose that the light source was a movie projector for instance. Two observers that are located the same distance away from the light source would receive the same information, they have not communicated with each other in any way. Imagine a light source that radiates in two polar directions, and two observers located 1 light year away from the source. Both would receive the information in 1 year. Using the naive reasoning in the article this constitutes a breakdown in causality because the observers are two light years apart, however they clearly have not communicated with each other and have simply received the same information from a single source. There is no way for observer A to confirm that observer B has received the information. You can argue that they agreed that they will be in the same location, but this act of agreement requires transmission of information (telling the other where to wait) along a causal channel, and you have gleaned no NEW information about the other observer, all the information you have gleaned has come from causal channels. This same reasoning applies to the sweeping light source.I would remove the argument, but since I am a new user I would prefer to wait for someone who has more say in the community--DenisTR 16:50, 19 August 2010 (EDT)
- OK, thanks for the good points. We are open-minded here and I've stricken that particular counterexample based on the logic above.--Andy Schlafly 18:19, 19 August 2010 (EDT)
Different values of Inertia
For counter-example 19, I'm not quite sure I understand. The value of the inertial mass (m) is constant for a given physical body undergoing any sort of motion, whether parallel or perpendicular to the observer's motion. I don't want to remove this as an counter-example to relativity before I understand what the author meant. Could this be clarified for me? Thanks.
- The rest mass is the same. I think Lorentz discovered what he called the longitudinal and transverse mass in around 1900. It was experimentally testing in around 1902. Einstein uses similar terminology in his 1905 paper. RSchlafly 02:32, 25 August 2010 (EDT)
counter example 12
counter example 12, referring to the W13 magnetar does have an explanation that, while not proven, or provable, is at least consistent with relativity. It is explained here http://www.astronomynow.com/news/n1008/20magnetar/ one possible way it could have formed. Vikten 16:38, 18 October 2010 (EDT)
- The attempt to reconcile the W13 data with relativity is highly speculative, unproven, and seems implausible to me. Almost anything can be reconciled with any theory if enough speculation about additional causes or forces is allowed, but that process is hardly scientific.--Andy Schlafly 00:45, 20 October 2010 (EDT)
- It is less about trying to reconcile it with relativity as it is to basic astrophysics. More than that, if in fact the speculated method of formation is false, the resulting fallout would be far more reaching than simply overthrowing relativity. It would cast doubt on much of modern physics (which obviously are done with relativity in mind) but even many other possible interpretations of space and time, such as the pre-relativity Eddington Paradigm. This is not so much a counter example to relativity but an unknown in physics as a whole, and as more information is gained about the W13 Magnetar, if the above speculated method of formation is found to be false, we will see a revolution of physics surrounding its study. I don't think it should be removed as a counter example, but perhaps clarified to show that it does not fit the traditional method of magnetar formation, and that other hypothesis have been unproven, and that it could have far-reaching effects, not just relativity.Vikten 18:48, 27 October 2010 (EDT)
- The basic problem posed by #12 is that Relativity predicts a black hole but there is none. Classical physics does not predict a black hole.
- But that is beside the point. The issue is whether Relativity is true or not, regardless of other theories. It's difficult to find the correct theory as long as people cling to an incorrect one.--Andy Schlafly 19:54, 27 October 2010 (EDT)
Tachyons
Not sure if this belongs here, but Tachyons seem to violate relativity, (while they do fit the math, strictly) They are quite confusing, and even under the most scientifically liberal interpretations, these hypothetical particles are somewhat self contradictory. http://math.ucr.edu/home/baez/physics/ParticleAndNuclear/tachyons.htmlVikten 19:46, 19 October 2010 (EDT)
- Thanks for mentioning this, and I'll investigate it further. Please feel free to edit the content page for this as you think best.--Andy Schlafly 00:47, 20 October 2010 (EDT)
John 4:53
As Jesus didn't state that the healing happened instantaneously, but we have only the report of the nobleman who spotted the coincidence, the sign could have happened
- instantaneously
- with the speed of light
- with the speed of sound (the word)
So, this is no example of an Action-at-a-distance! AugustO 10:04, 18 March 2011 (EDT)
- No, the point of the story is that it happened at the same moment. The modern translation should reflect that obvious meaning.--Andy Schlafly 11:05, 18 March 2011 (EDT)
- No, the point of the story is that it happened at the same moment. The modern translation should reflect that obvious meaning.
- Obviously, God could have created the Heavens and the Earth in a single moment. He chose to take six days. How do we know this? Because He told us so, not a mortal. Obviously, the Lord Almighty can't be exhausted. But he chose to rest for the seventh day. Again, we know this as He told us so Himself.
- We don't know which time the Lord chose to take to perform the sign of the son. Obviously, it could have happened in an instant. Or a heartbeat. Or with the speed of light or sound. The Lord doesn't tell us His (and not our!) choice. We only have the word of a mortal man, who measured the period up to an hour: the seventh hour is between 12:30 p.m. and 1:30 p.m. - even between 12:35 p.m and 1:45 p.m. in the summer. This reminds me of Galileo's trials to measure the speed of light with the help of a servant and two shuttered lantern...
- I'll revert your reversion of my edit - and perhaps I get blocked for this, though I am giving ample reason for my acts. Thus you could avoid to address my points, and ignore them like quite a few arguments against items in the list of counterexamples. As Rschlafly said: All of the other items also have explanations that do not contradict relativity. But I hope that you just answer the following questions:
- Do you have any justification for your translation other than the Lord could have done this in a single instant? As I mentioned above, the Bible is about what God did, and so your translation shouldn't be be about what God could have done, neither.
- Above, you wrote: The instantaneous healing is central to the purpose of the event. and the point of the story is that it happened at the same moment. How so? Why has the healing to be spontaneous, when the creation of the world took six days?
- --AugustO 10:36, 19 March 2011 (EDT)
- For a moment, I won't address the problematic translation of John 4:53. Instead consider the following little story:
- When I was in New York, I visited a small broadcasting studio. I was there at the begin of the broadcasting of the 1 o'clock news - and it started at 1 o'clock. The next day, I told a friend about this - and he said, that he had watched this very beginning of the news show at 1 o'clock, but in Danbury, Connecticut, roughly sixty miles away. I questioned whether he was sure of this - and he said that he had looked not only at his watch, but also at the sundial in his garden.
- Does this story disproves the Theory of Relativity?
- AugustO 09:55, 21 April 2011 (EDT)
- For a moment, I won't address the problematic translation of John 4:53. Instead consider the following little story:




